🇳🇴 🇬🇧 🇩🇪 🇨🇿 🇫🇮

Meteor, poloha: Stavern 2015-12-14 20:35:51 UTC

Soubor KML  |  InteraktivnĂ­ mapa

Mapa zobrazuje dráhy meteoru. Světlejší čáry ukazují směry od pozorovacích stanic při objevení se meteoru a tmavší čáry, kde byl naposledy viděn. Modrá šipka značí viditelnou dráhu meteoru.

static map
height profile
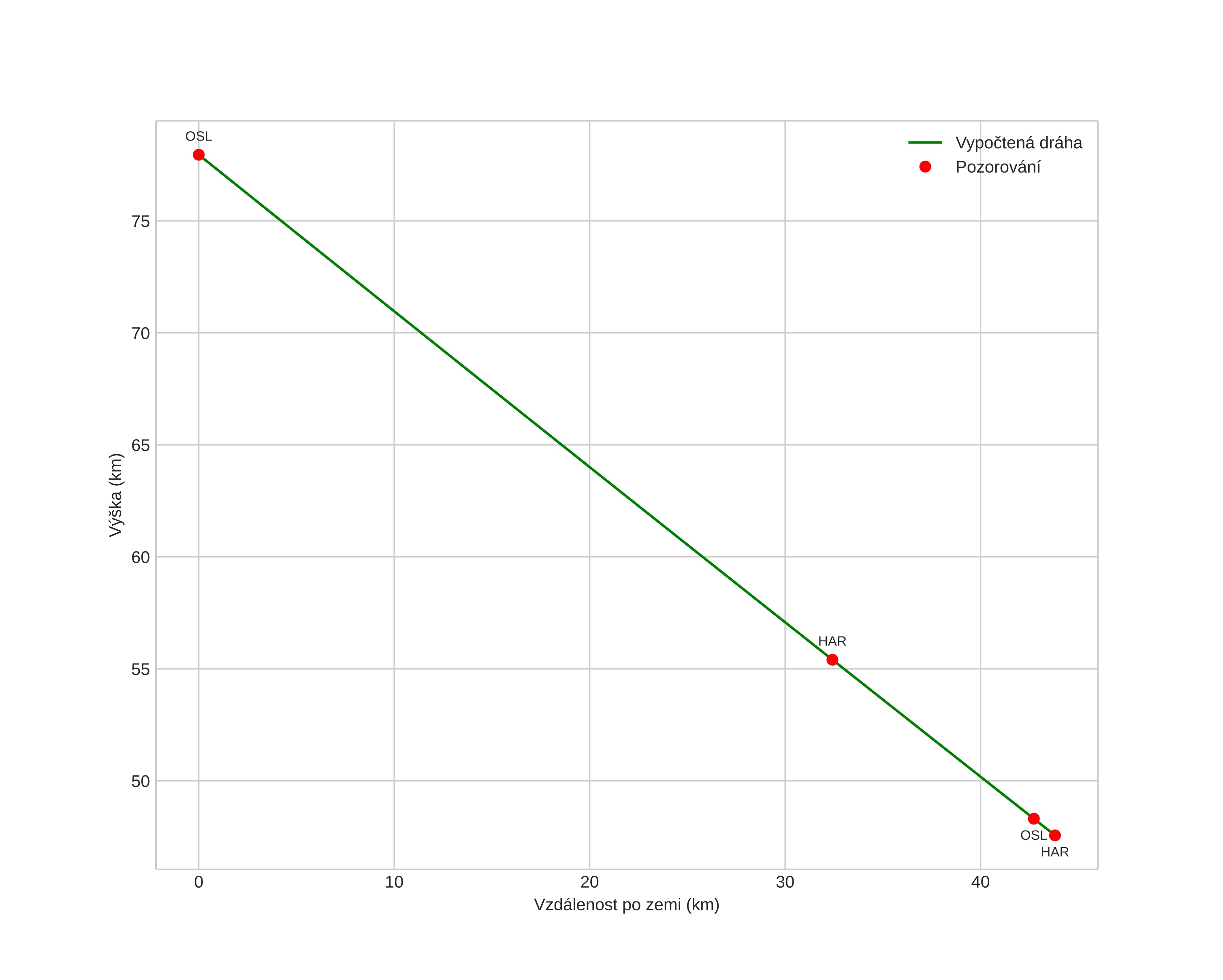
Atmosférická dráha meteoru:
Počáteční výška: 78,0 km
Konečná výška: 47,6 km
Počáteční poloha: 58,846N 11,017E
Konečná poloha: 58,765N 10,272E
Směr: 258,5°
Sklon: 34,8°
VstupnĂ­ rychlost: 27,9 km/s
Rektascenze radiantu: 08:14 (123,7°)
Deklinace radiantu: 33,2°
MeteorickĂ˝ roj: sporadickĂ˝
Elementy dráhy meteoroidu:
Vzdálenost v periheliu: 0,170 AU
Excentricita: 0,785
Sklon dráhy: 20,0°
Délka vzestupného uzlu: 262,3°
Argument perihelia: 331,7°
Střední anomálie: 294,9°
Epocha: 2015 DEC 14 20:35:51
orbit plot

NeinteraktivnĂ­ graf | InteraktivnĂ­ graf

position vs time
speed and acceleration