🇳🇴 🇬🇧 🇩🇪 🇨🇿 🇫🇮

Meteor, poloha: Hol 2015-12-14 20:44:31 UTC

Soubor KML  |  InteraktivnĂ­ mapa

Mapa zobrazuje dráhy meteoru. Světlejší čáry ukazují směry od pozorovacích stanic při objevení se meteoru a tmavší čáry, kde byl naposledy viděn. Modrá šipka značí viditelnou dráhu meteoru.

static map
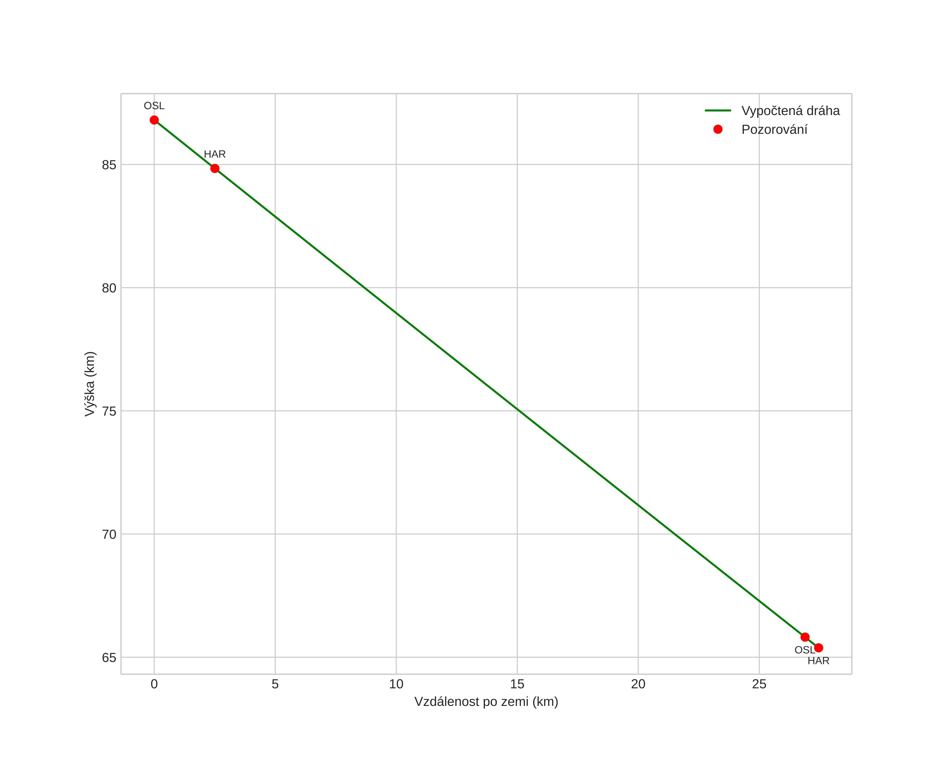
height profile
Atmosférická dráha meteoru:
Počáteční výška: 86,8 km
Konečná výška: 65,4 km
Počáteční poloha: 60,854N 8,772E
Konečná poloha: 60,849N 8,265E
Směr: 269,0°
Sklon: 37,9°
VstupnĂ­ rychlost: 32,9 km/s
Rektascenze radiantu: 07:34 (113,7°)
Deklinace radiantu: 31,7°
MeteorickĂ˝ roj: Geminidy
Elementy dráhy meteoroidu:
Vzdálenost v periheliu: 0,169 AU
Excentricita: 0,850
Sklon dráhy: 18,3°
Délka vzestupného uzlu: 262,3°
Argument perihelia: 323,5°
Střední anomálie: 326,5°
Epocha: 2015 DEC 14 20:44:31
orbit plot

NeinteraktivnĂ­ graf | InteraktivnĂ­ graf

position vs time
speed and acceleration