🇳🇴 🇬🇧 🇩🇪 🇨🇿 🇫🇮

Meteor, poloha: Hirtshals 2015-12-14 21:18:28 UTC

Soubor KML  |  InteraktivnĂ­ mapa

Mapa zobrazuje dráhy meteoru. Světlejší čáry ukazují směry od pozorovacích stanic při objevení se meteoru a tmavší čáry, kde byl naposledy viděn. Modrá šipka značí viditelnou dráhu meteoru.

static map
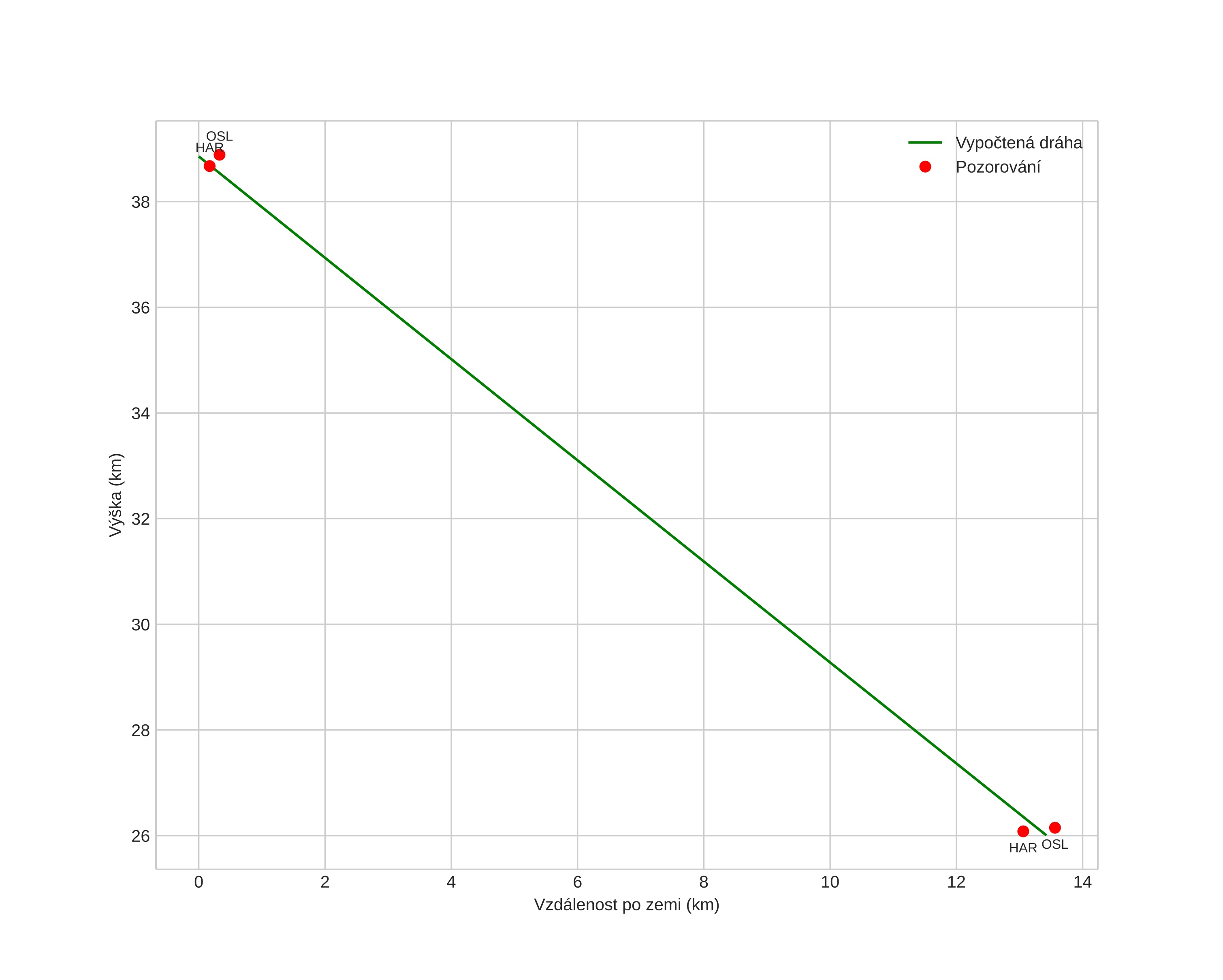
height profile
Atmosférická dráha meteoru:
Počáteční výška: 38,9 km
Konečná výška: 26,0 km
Počáteční poloha: 57,908N 10,201E
Konečná poloha: 57,934N 9,979E
Směr: 282,6°
Sklon: 43,9°
VstupnĂ­ rychlost: 20,1 km/s
Rektascenze radiantu: 07:18 (109,7°)
Deklinace radiantu: 26,8°
MeteorickĂ˝ roj: sporadickĂ˝
Elementy dráhy meteoroidu:
Vzdálenost v periheliu: 0,380 AU
Excentricita: 0,557
Sklon dráhy: 3,2°
Délka vzestupného uzlu: 262,3°
Argument perihelia: 315,7°
Střední anomálie: 285,5°
Epocha: 2015 DEC 14 21:18:28
orbit plot

NeinteraktivnĂ­ graf | InteraktivnĂ­ graf

position vs time
speed and acceleration