🇳🇴 🇬🇧 🇩🇪 🇨🇿 🇫🇮

Meteor, poloha: Hønefoss 2015-12-14 21:22:06 UTC

Soubor KML  |  InteraktivnĂ­ mapa

Mapa zobrazuje dráhy meteoru. Světlejší čáry ukazují směry od pozorovacích stanic při objevení se meteoru a tmavší čáry, kde byl naposledy viděn. Modrá šipka značí viditelnou dráhu meteoru.

static map
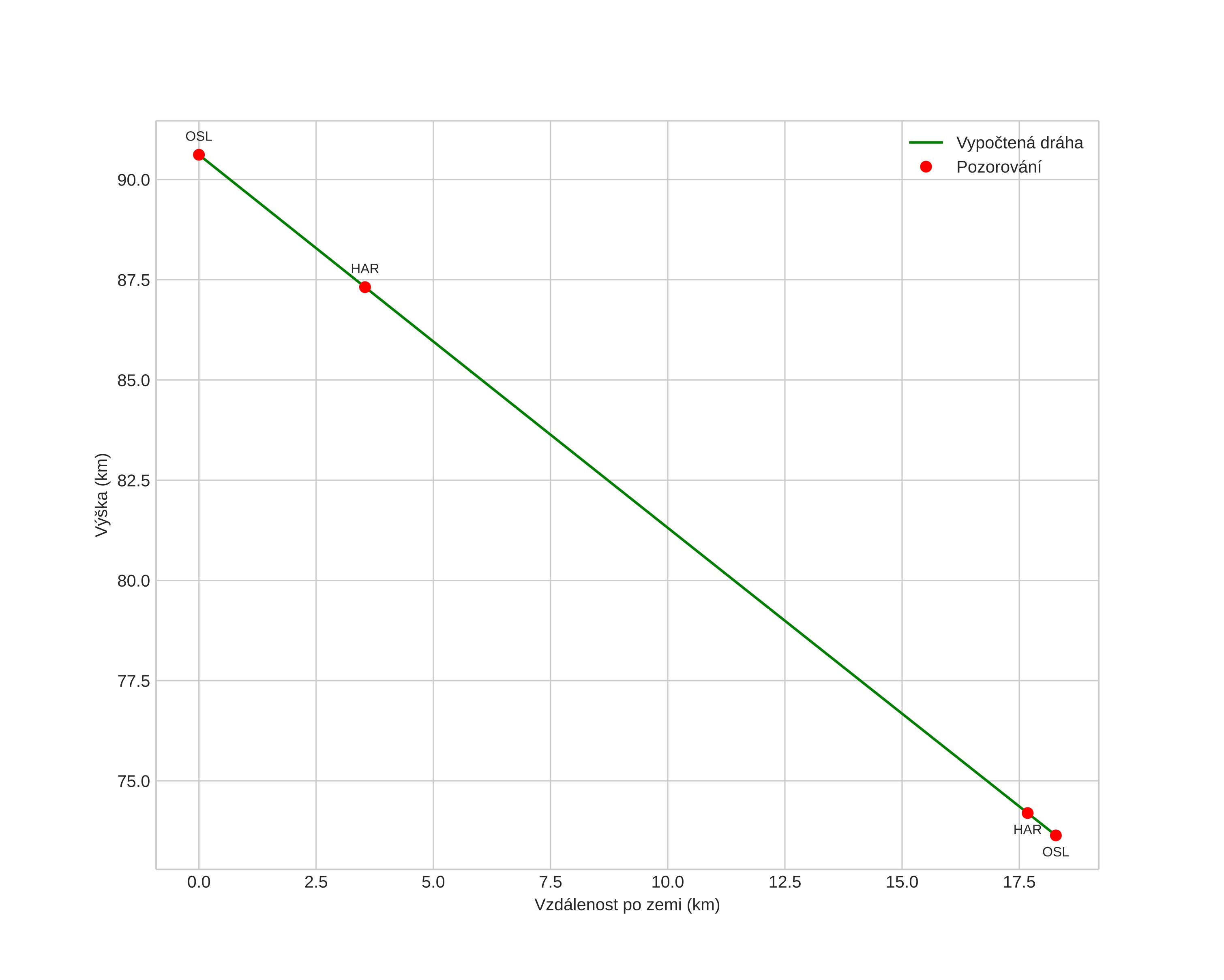
height profile
Atmosférická dráha meteoru:
Počáteční výška: 90,6 km
Konečná výška: 73,6 km
Počáteční poloha: 60,134N 10,488E
Konečná poloha: 60,157N 10,161E
Směr: 278,1°
Sklon: 42,9°
VstupnĂ­ rychlost: 32,9 km/s
Rektascenze radiantu: 07:35 (114,0°)
Deklinace radiantu: 31,5°
MeteorickĂ˝ roj: Geminidy
Elementy dráhy meteoroidu:
Vzdálenost v periheliu: 0,165 AU
Excentricita: 0,851
Sklon dráhy: 18,2°
Délka vzestupného uzlu: 262,3°
Argument perihelia: 324,0°
Střední anomálie: 326,0°
Epocha: 2015 DEC 14 21:22:06
orbit plot

NeinteraktivnĂ­ graf | InteraktivnĂ­ graf

position vs time
speed and acceleration