🇳🇴 🇬🇧 🇩🇪 🇨🇿 🇫🇮

Meteor, poloha: Heggenes 2015-12-14 21:43:04 UTC

Soubor KML  |  InteraktivnĂ­ mapa

Mapa zobrazuje dráhy meteoru. Světlejší čáry ukazují směry od pozorovacích stanic při objevení se meteoru a tmavší čáry, kde byl naposledy viděn. Modrá šipka značí viditelnou dráhu meteoru.

static map
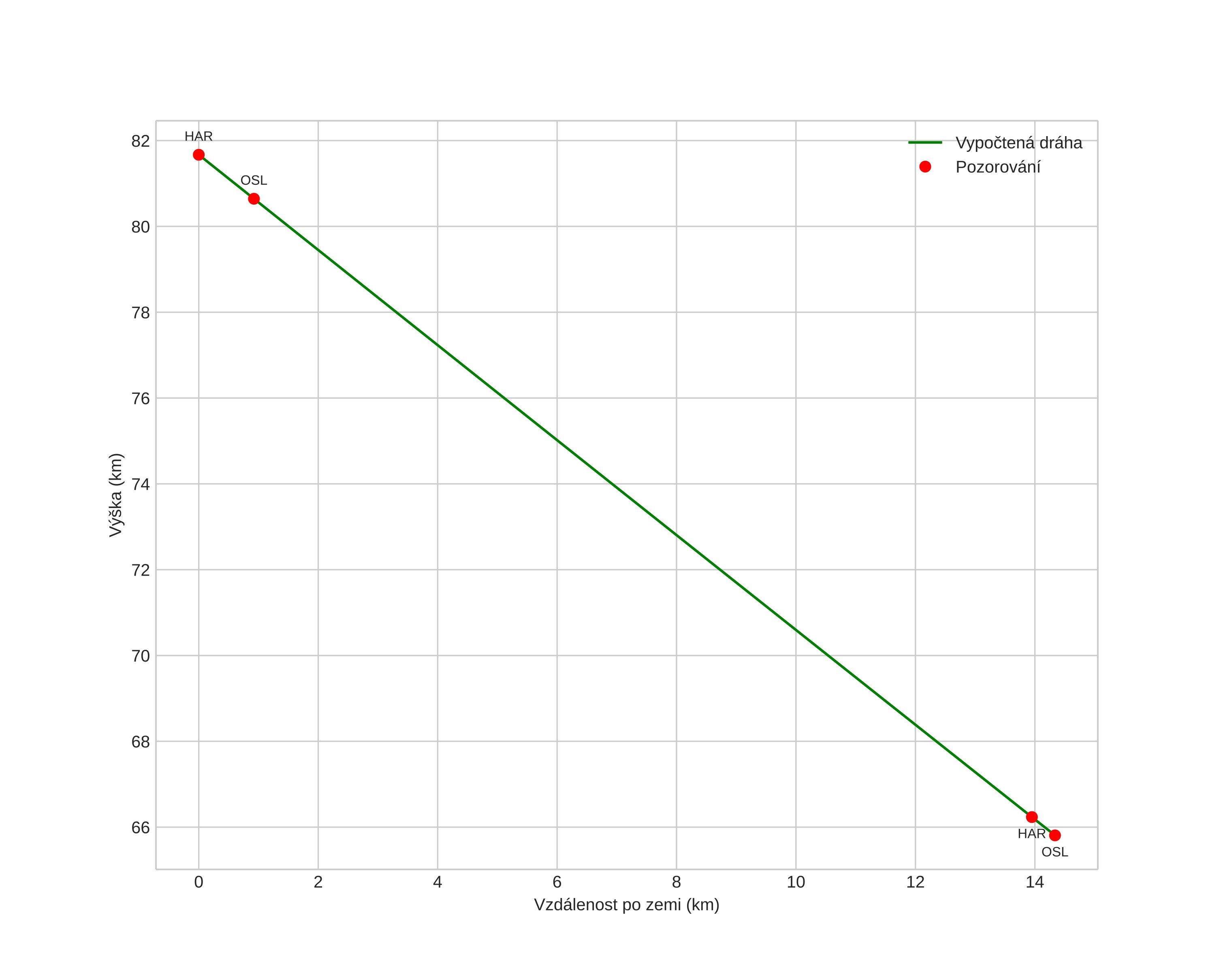
height profile
Atmosférická dráha meteoru:
Počáteční výška: 81,7 km
Konečná výška: 65,8 km
Počáteční poloha: 61,259N 9,219E
Konečná poloha: 61,368N 9,077E
Směr: 328,1°
Sklon: 48,0°
VstupnĂ­ rychlost: 24,5 km/s
Rektascenze radiantu: 05:22 (80,5°)
Deklinace radiantu: 19,7°
MeteorickĂ˝ roj: sporadickĂ˝
Elementy dráhy meteoroidu:
Vzdálenost v periheliu: 0,591 AU
Excentricita: 0,750
Sklon dráhy: 2,4°
Délka vzestupného uzlu: 82,4°
Argument perihelia: 86,0°
Střední anomálie: 348,1°
Epocha: 2015 DEC 14 21:43:04
orbit plot

NeinteraktivnĂ­ graf | InteraktivnĂ­ graf

position vs time
speed and acceleration