🇳🇴 🇬🇧 🇩🇪 🇨🇿 🇫🇮

Meteor, poloha: Ă…mli 2015-12-14 22:02:17 UTC

Soubor KML  |  InteraktivnĂ­ mapa

Mapa zobrazuje dráhy meteoru. Světlejší čáry ukazují směry od pozorovacích stanic při objevení se meteoru a tmavší čáry, kde byl naposledy viděn. Modrá šipka značí viditelnou dráhu meteoru.

static map
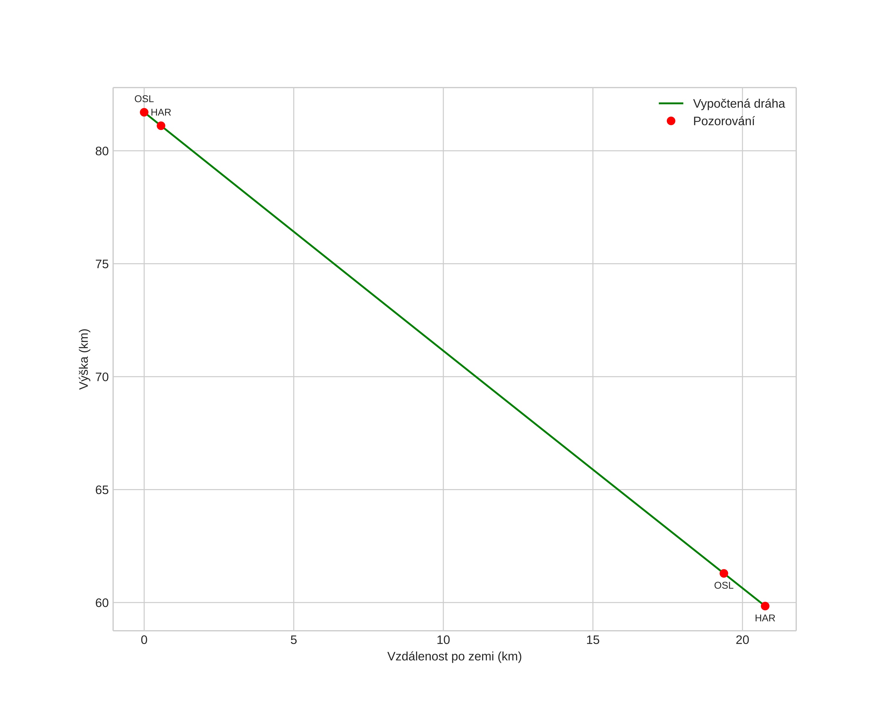
height profile
Atmosférická dráha meteoru:
Počáteční výška: 81,7 km
Konečná výška: 59,8 km
Počáteční poloha: 58,775N 8,622E
Konečná poloha: 58,810N 8,268E
Směr: 280,9°
Sklon: 46,5°
VstupnĂ­ rychlost: 30,1 km/s
Rektascenze radiantu: 07:48 (117,1°)
Deklinace radiantu: 32,4°
MeteorickĂ˝ roj: Geminidy
Elementy dráhy meteoroidu:
Vzdálenost v periheliu: 0,179 AU
Excentricita: 0,809
Sklon dráhy: 18,2°
Délka vzestupného uzlu: 262,4°
Argument perihelia: 326,1°
Střední anomálie: 312,5°
Epocha: 2015 DEC 14 22:02:17
orbit plot

NeinteraktivnĂ­ graf | InteraktivnĂ­ graf

position vs time
speed and acceleration