🇳🇴 🇬🇧 🇩🇪 🇨🇿 🇫🇮

Meteor, poloha: Rotnes 2015-12-14 23:20:51 UTC

Soubor KML  |  InteraktivnĂ­ mapa

Mapa zobrazuje dráhy meteoru. Světlejší čáry ukazují směry od pozorovacích stanic při objevení se meteoru a tmavší čáry, kde byl naposledy viděn. Modrá šipka značí viditelnou dráhu meteoru.

static map
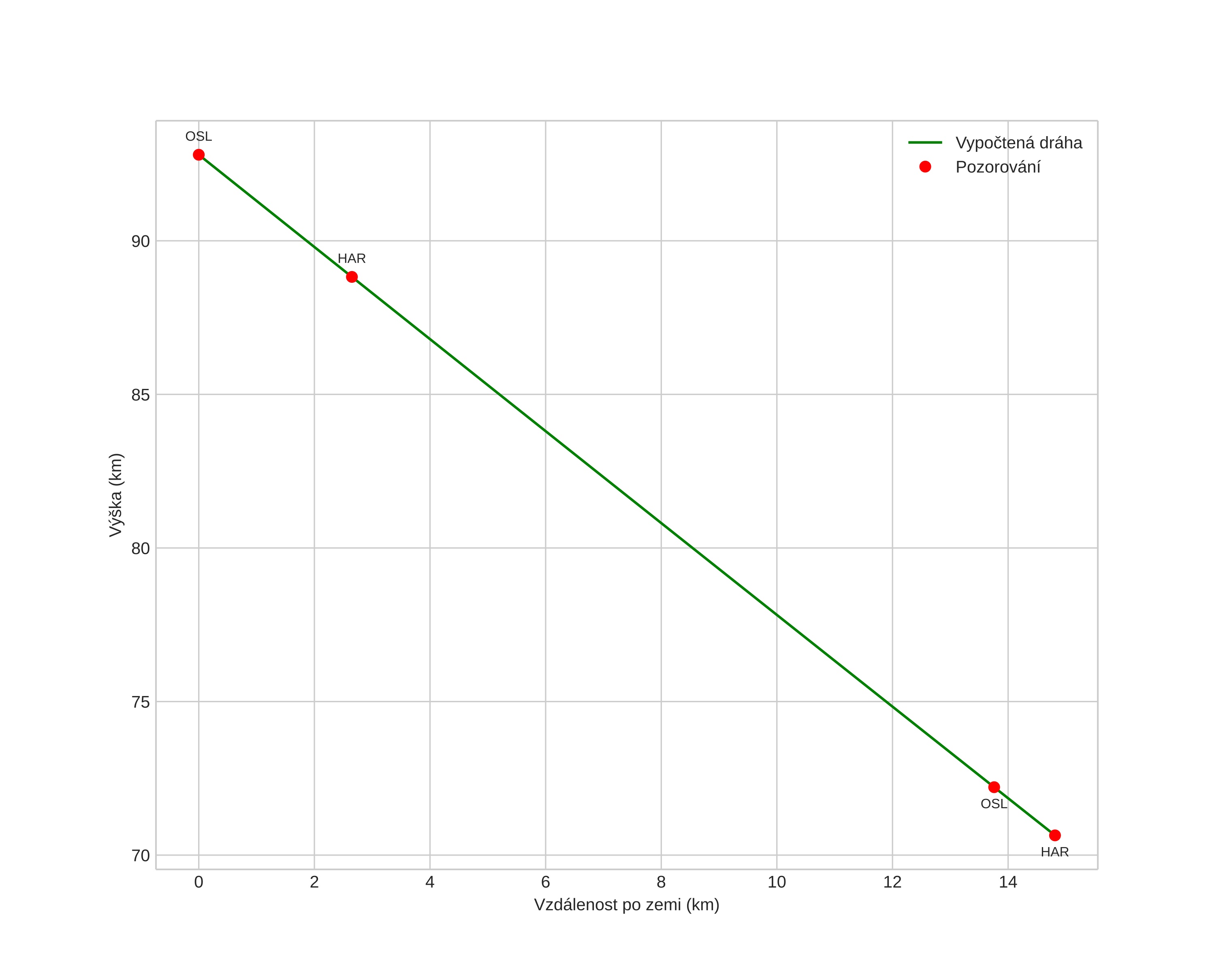
height profile
Atmosférická dráha meteoru:
Počáteční výška: 92,8 km
Konečná výška: 70,6 km
Počáteční poloha: 59,964N 10,948E
Konečná poloha: 60,051N 10,745E
Směr: 310,6°
Sklon: 56,3°
VstupnĂ­ rychlost: 30,9 km/s
Rektascenze radiantu: 07:37 (114,3°)
Deklinace radiantu: 31,6°
MeteorickĂ˝ roj: Geminidy
Elementy dráhy meteoroidu:
Vzdálenost v periheliu: 0,184 AU
Excentricita: 0,820
Sklon dráhy: 16,4°
Délka vzestupného uzlu: 262,4°
Argument perihelia: 323,6°
Střední anomálie: 319,7°
Epocha: 2015 DEC 14 23:20:51
orbit plot

NeinteraktivnĂ­ graf | InteraktivnĂ­ graf

position vs time
speed and acceleration