🇳🇴 🇬🇧 🇩🇪 🇨🇿 🇫🇮

Meteor, poloha: Karlshus 2015-12-14 23:35:42 UTC

Soubor KML  |  InteraktivnĂ­ mapa

Mapa zobrazuje dráhy meteoru. Světlejší čáry ukazují směry od pozorovacích stanic při objevení se meteoru a tmavší čáry, kde byl naposledy viděn. Modrá šipka značí viditelnou dráhu meteoru.

static map
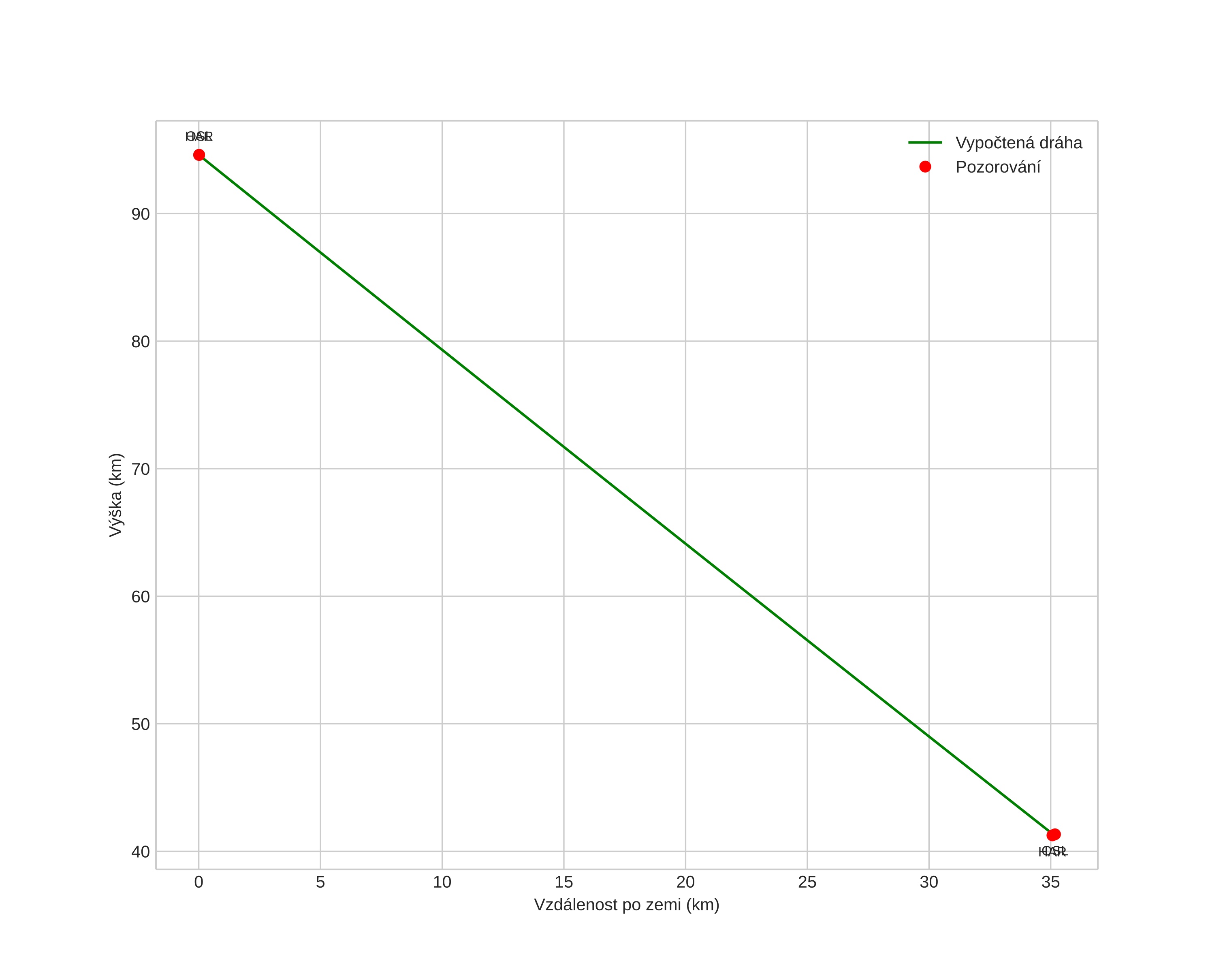
height profile
Atmosférická dráha meteoru:
Počáteční výška: 94,6 km
Konečná výška: 41,3 km
Počáteční poloha: 59,107N 11,197E
Konečná poloha: 59,354N 10,810E
Směr: 321,4°
Sklon: 56,6°
VstupnĂ­ rychlost: 43,2 km/s
Rektascenze radiantu: 07:25 (111,3°)
Deklinace radiantu: 29,2°
MeteorickĂ˝ roj: sporadickĂ˝
Elementy dráhy meteoroidu:
Vzdálenost v periheliu: 0,095 AU
Excentricita: 0,975
Sklon dráhy: 23,2°
Délka vzestupného uzlu: 262,4°
Argument perihelia: 326,3°
Střední anomálie: 355,6°
Epocha: 2015 DEC 14 23:35:42
orbit plot

NeinteraktivnĂ­ graf | InteraktivnĂ­ graf

position vs time
speed and acceleration