🇳🇴 🇬🇧 🇩🇪 🇨🇿 🇫🇮

Meteor, poloha: Noresund 2015-12-15 00:06:56 UTC

Soubor KML  |  InteraktivnĂ­ mapa

Mapa zobrazuje dráhy meteoru. Světlejší čáry ukazují směry od pozorovacích stanic při objevení se meteoru a tmavší čáry, kde byl naposledy viděn. Modrá šipka značí viditelnou dráhu meteoru.

static map
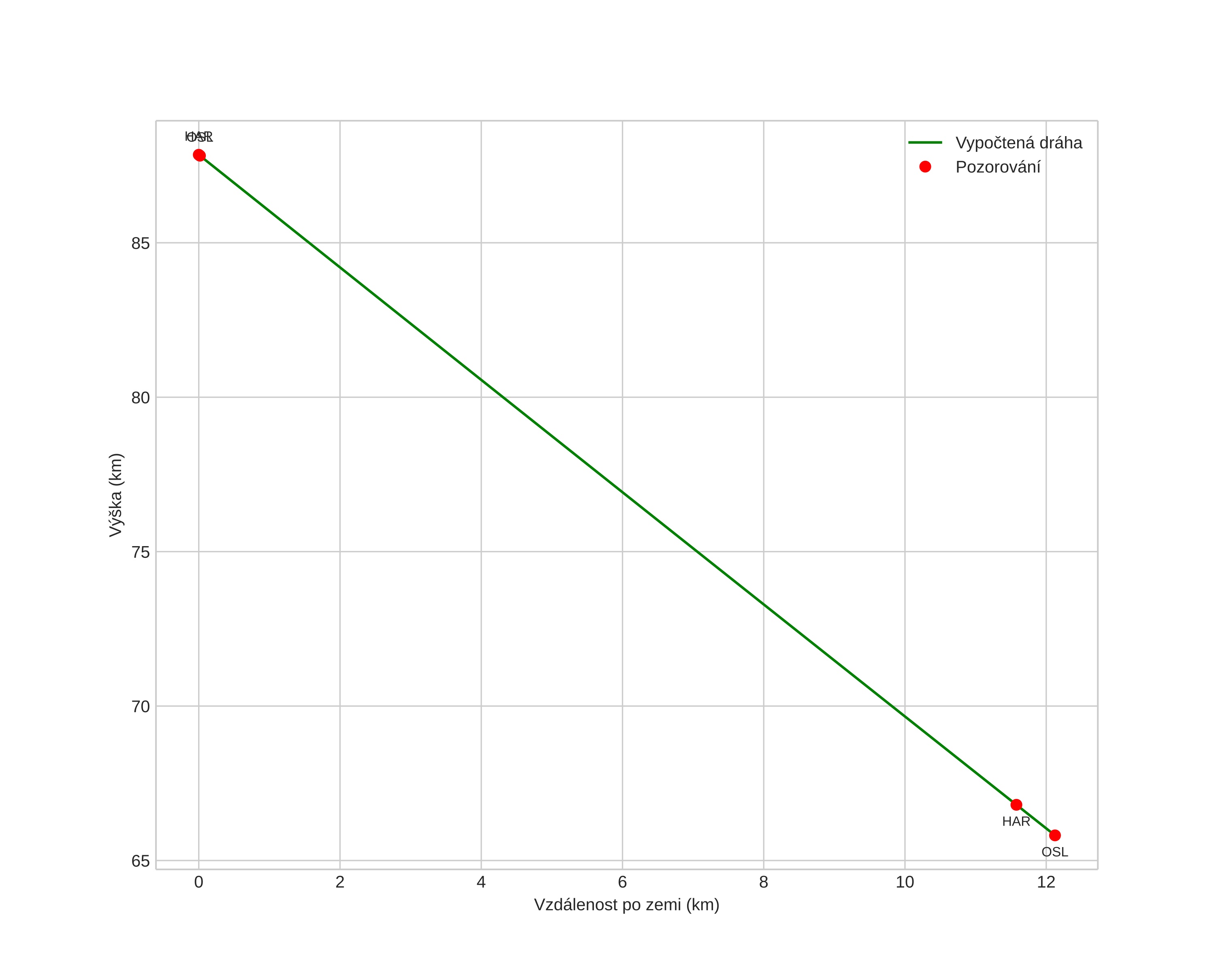
height profile
Atmosférická dráha meteoru:
Počáteční výška: 87,8 km
Konečná výška: 65,8 km
Počáteční poloha: 60,166N 9,836E
Konečná poloha: 60,257N 9,715E
Směr: 326,6°
Sklon: 61,1°
VstupnĂ­ rychlost: 35,9 km/s
Rektascenze radiantu: 07:32 (113,1°)
Deklinace radiantu: 33,3°
MeteorickĂ˝ roj: Geminidy
Elementy dráhy meteoroidu:
Vzdálenost v periheliu: 0,157 AU
Excentricita: 0,887
Sklon dráhy: 24,1°
Délka vzestupného uzlu: 262,5°
Argument perihelia: 321,9°
Střední anomálie: 337,4°
Epocha: 2015 DEC 15 00:06:56
orbit plot

NeinteraktivnĂ­ graf | InteraktivnĂ­ graf

position vs time
speed and acceleration