🇳🇴 🇬🇧 🇩🇪 🇨🇿 🇫🇮

Meteor, poloha: Evje 2015-12-15 00:11:06 UTC

Soubor KML  |  InteraktivnĂ­ mapa

Mapa zobrazuje dráhy meteoru. Světlejší čáry ukazují směry od pozorovacích stanic při objevení se meteoru a tmavší čáry, kde byl naposledy viděn. Modrá šipka značí viditelnou dráhu meteoru.

static map
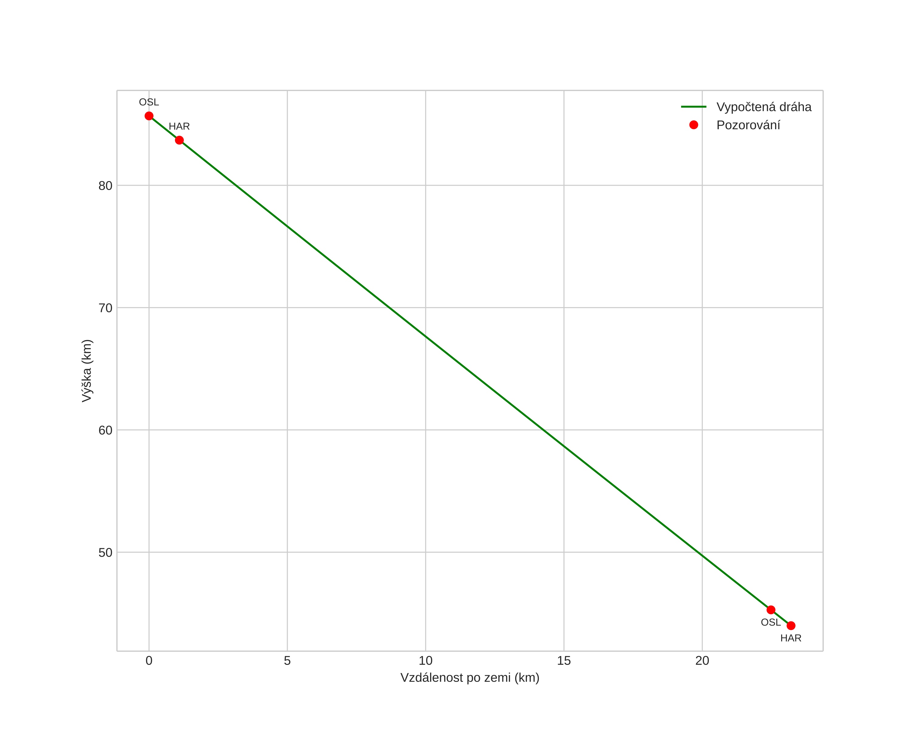
height profile
Atmosférická dráha meteoru:
Počáteční výška: 85,7 km
Konečná výška: 44,0 km
Počáteční poloha: 58,545N 8,119E
Konečná poloha: 58,701N 7,852E
Směr: 318,3°
Sklon: 60,9°
VstupnĂ­ rychlost: 31,4 km/s
Rektascenze radiantu: 07:46 (116,7°)
Deklinace radiantu: 32,9°
MeteorickĂ˝ roj: Geminidy
Elementy dráhy meteoroidu:
Vzdálenost v periheliu: 0,170 AU
Excentricita: 0,829
Sklon dráhy: 20,3°
Délka vzestupného uzlu: 262,5°
Argument perihelia: 325,7°
Střední anomálie: 318,0°
Epocha: 2015 DEC 15 00:11:06
orbit plot

NeinteraktivnĂ­ graf | InteraktivnĂ­ graf

position vs time
speed and acceleration