🇳🇴 🇬🇧 🇩🇪 🇨🇿 🇫🇮

Meteor, poloha: Hundorp 2015-12-15 00:27:45 UTC

Soubor KML  |  InteraktivnĂ­ mapa

Mapa zobrazuje dráhy meteoru. Světlejší čáry ukazují směry od pozorovacích stanic při objevení se meteoru a tmavší čáry, kde byl naposledy viděn. Modrá šipka značí viditelnou dráhu meteoru.

static map
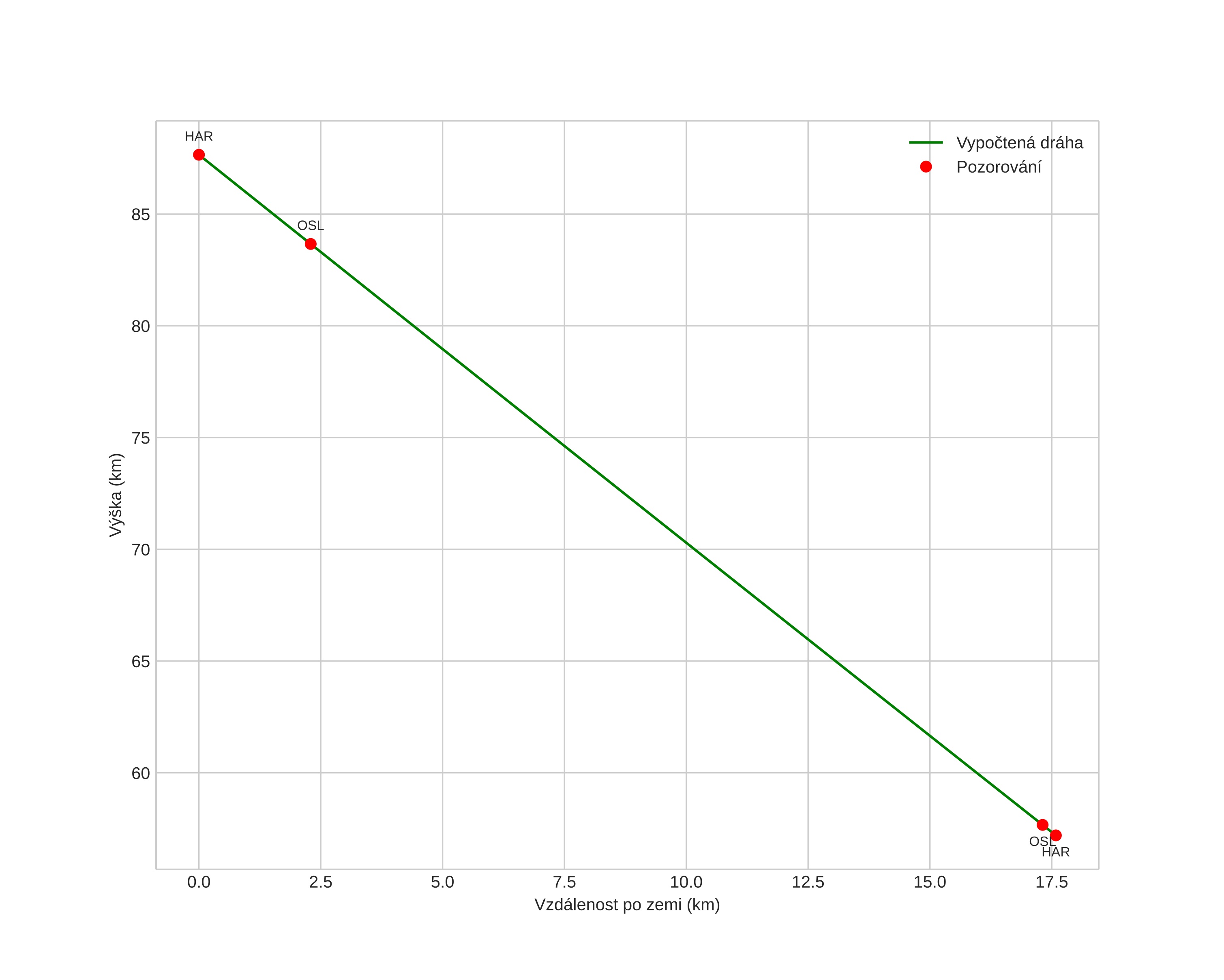
height profile
Atmosférická dráha meteoru:
Počáteční výška: 87,7 km
Konečná výška: 57,2 km
Počáteční poloha: 61,077N 9,975E
Konečná poloha: 61,220N 9,836E
Směr: 335,0°
Sklon: 60,0°
VstupnĂ­ rychlost: 29,2 km/s
Rektascenze radiantu: 07:37 (114,3°)
Deklinace radiantu: 31,5°
MeteorickĂ˝ roj: Geminidy
Elementy dráhy meteoroidu:
Vzdálenost v periheliu: 0,203 AU
Excentricita: 0,791
Sklon dráhy: 14,5°
Délka vzestupného uzlu: 262,5°
Argument perihelia: 322,9°
Střední anomálie: 314,1°
Epocha: 2015 DEC 15 00:27:45
orbit plot

NeinteraktivnĂ­ graf | InteraktivnĂ­ graf

position vs time
speed and acceleration