🇳🇴 🇬🇧 🇩🇪 🇨🇿 🇫🇮

Meteor, poloha: Bagn 2015-12-15 00:47:40 UTC

Soubor KML  |  InteraktivnĂ­ mapa

Mapa zobrazuje dráhy meteoru. Světlejší čáry ukazují směry od pozorovacích stanic při objevení se meteoru a tmavší čáry, kde byl naposledy viděn. Modrá šipka značí viditelnou dráhu meteoru.

static map
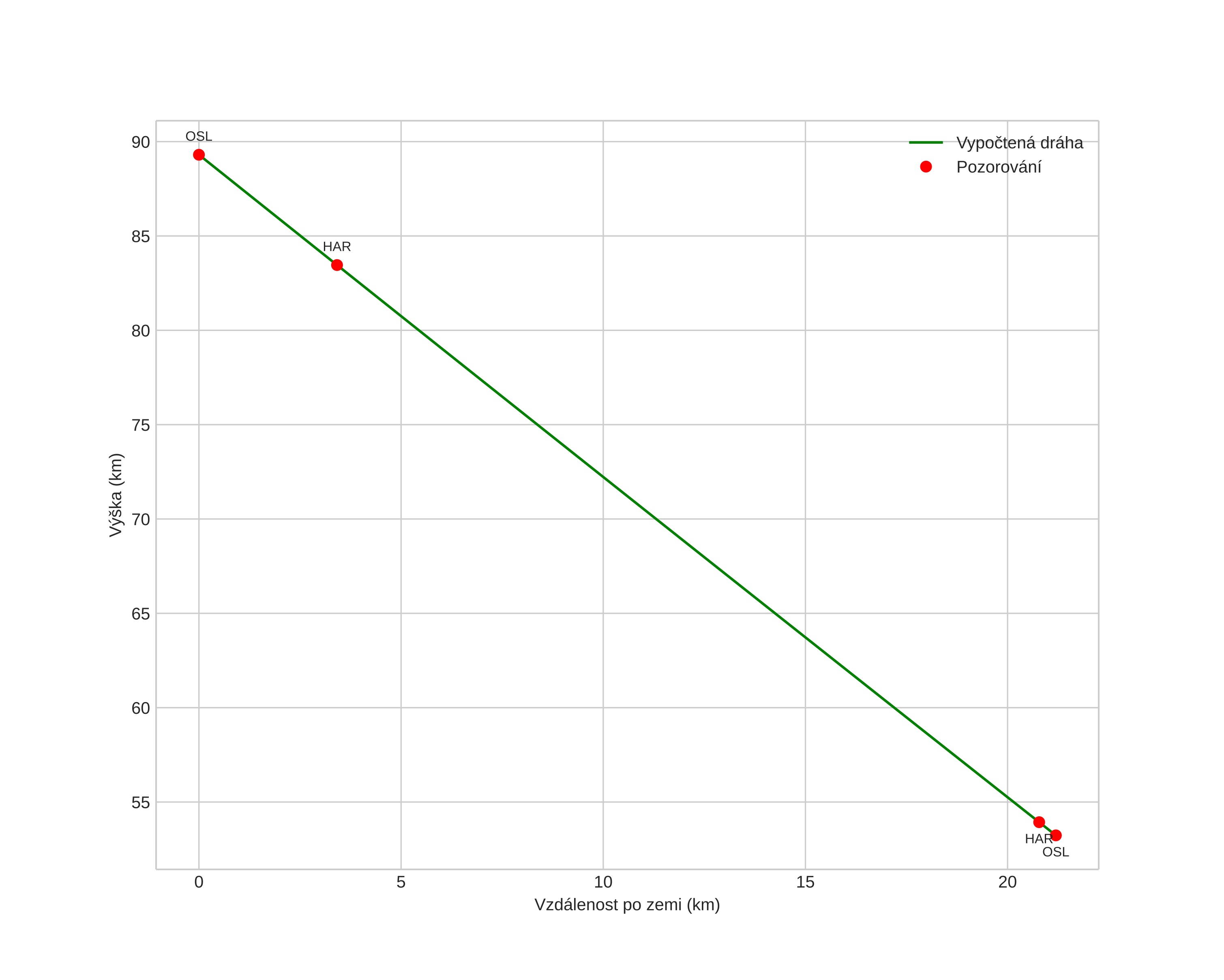
height profile
Atmosférická dráha meteoru:
Počáteční výška: 89,3 km
Konečná výška: 53,2 km
Počáteční poloha: 60,602N 9,566E
Konečná poloha: 60,784N 9,445E
Směr: 342,1°
Sklon: 59,6°
VstupnĂ­ rychlost: 30,0 km/s
Rektascenze radiantu: 07:38 (114,7°)
Deklinace radiantu: 29,8°
MeteorickĂ˝ roj: Geminidy
Elementy dráhy meteoroidu:
Vzdálenost v periheliu: 0,182 AU
Excentricita: 0,813
Sklon dráhy: 13,2°
Délka vzestupného uzlu: 262,5°
Argument perihelia: 324,9°
Střední anomálie: 315,8°
Epocha: 2015 DEC 15 00:47:40
orbit plot

NeinteraktivnĂ­ graf | InteraktivnĂ­ graf

position vs time
speed and acceleration