🇳🇴 🇬🇧 🇩🇪 🇨🇿 🇫🇮

Meteor, poloha: Ebeltoft 2015-12-15 01:00:15 UTC

Soubor KML  |  InteraktivnĂ­ mapa

Mapa zobrazuje dráhy meteoru. Světlejší čáry ukazují směry od pozorovacích stanic při objevení se meteoru a tmavší čáry, kde byl naposledy viděn. Modrá šipka značí viditelnou dráhu meteoru.

static map
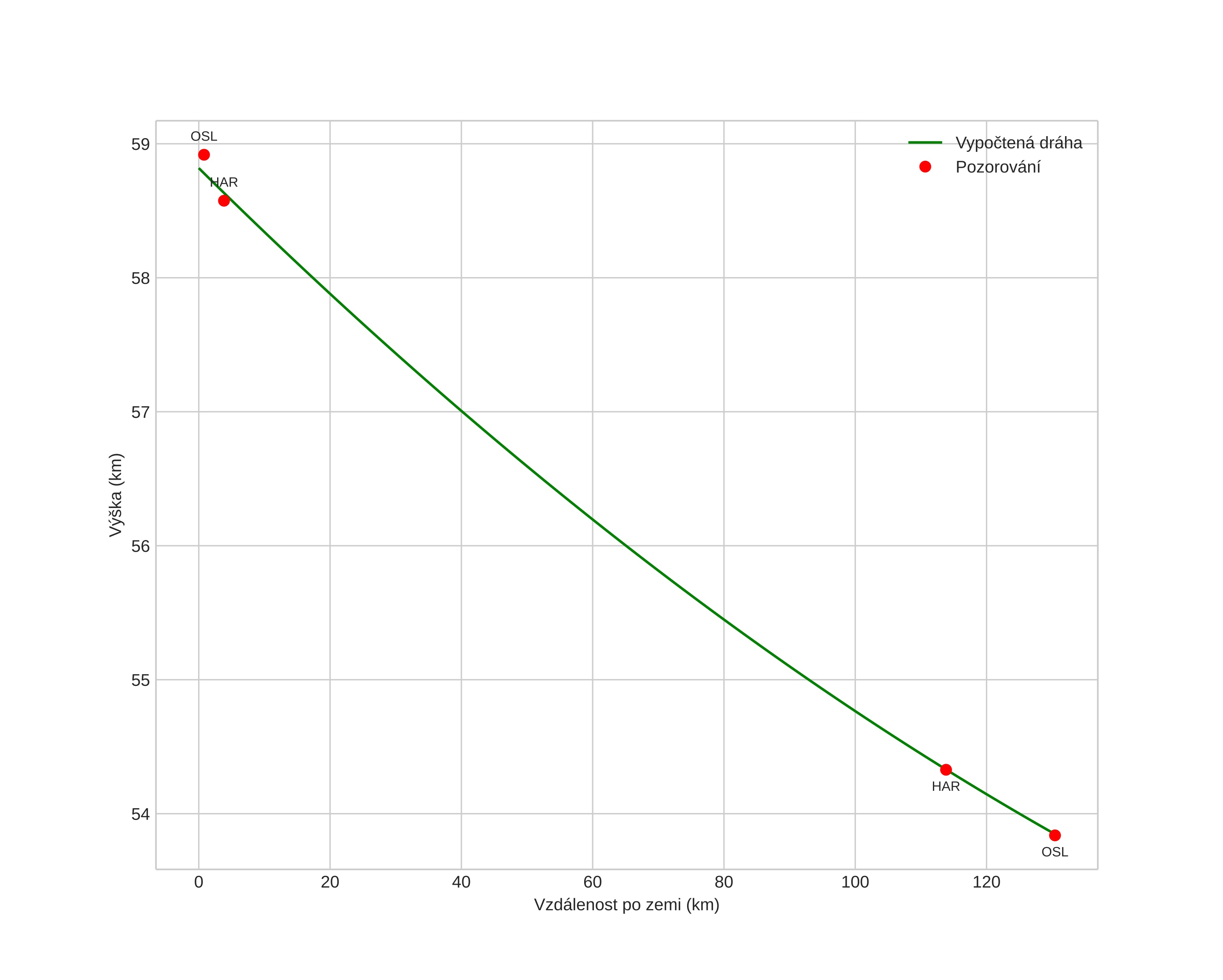
height profile
Atmosférická dráha meteoru:
Počáteční výška: 58,8 km
Konečná výška: 53,8 km
Počáteční poloha: 57,297N 10,706E
Konečná poloha: 56,124N 10,653E
Směr: 181,4°
Sklon: 2,2°
VstupnĂ­ rychlost: 106,5 km/s
Rektascenze radiantu: 19:09 (287,4°)
Deklinace radiantu: 34,6°
MeteorickĂ˝ roj: sporadickĂ˝
Elementy dráhy meteoroidu:
Vzdálenost v periheliu: 0,893 AU
Excentricita: 13,364
Sklon dráhy: 54,5°
Délka vzestupného uzlu: 262,5°
Argument perihelia: 154,2°
Střední anomálie: 316,7°
Epocha: 2015 DEC 15 01:00:15
orbit plot

NeinteraktivnĂ­ graf | InteraktivnĂ­ graf

position vs time
speed and acceleration