🇳🇴 🇬🇧 🇩🇪 🇨🇿 🇫🇮

Meteor, poloha: Gaupne 2015-12-15 01:04:16 UTC

Soubor KML  |  InteraktivnĂ­ mapa

Mapa zobrazuje dráhy meteoru. Světlejší čáry ukazují směry od pozorovacích stanic při objevení se meteoru a tmavší čáry, kde byl naposledy viděn. Modrá šipka značí viditelnou dráhu meteoru.

static map
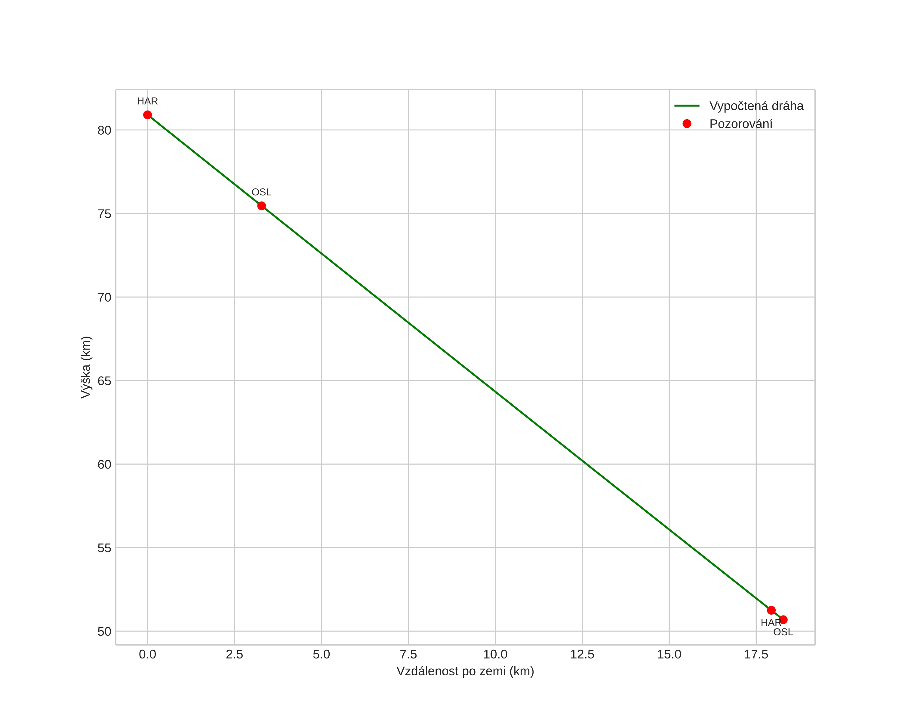
height profile
Atmosférická dráha meteoru:
Počáteční výška: 80,9 km
Konečná výška: 50,7 km
Počáteční poloha: 61,154N 7,532E
Konečná poloha: 61,310N 7,426E
Směr: 341,8°
Sklon: 58,8°
VstupnĂ­ rychlost: 33,5 km/s
Rektascenze radiantu: 07:48 (117,2°)
Deklinace radiantu: 29,8°
MeteorickĂ˝ roj: Geminidy
Elementy dráhy meteoroidu:
Vzdálenost v periheliu: 0,129 AU
Excentricita: 0,875
Sklon dráhy: 18,5°
Délka vzestupného uzlu: 262,5°
Argument perihelia: 329,5°
Střední anomálie: 323,2°
Epocha: 2015 DEC 15 01:04:16
orbit plot

NeinteraktivnĂ­ graf | InteraktivnĂ­ graf

position vs time
speed and acceleration