🇳🇴 🇬🇧 🇩🇪 🇨🇿 🇫🇮

Meteor, poloha: Vikersund 2015-12-15 01:12:55 UTC

Soubor KML  |  InteraktivnĂ­ mapa

Mapa zobrazuje dráhy meteoru. Světlejší čáry ukazují směry od pozorovacích stanic při objevení se meteoru a tmavší čáry, kde byl naposledy viděn. Modrá šipka značí viditelnou dráhu meteoru.

static map
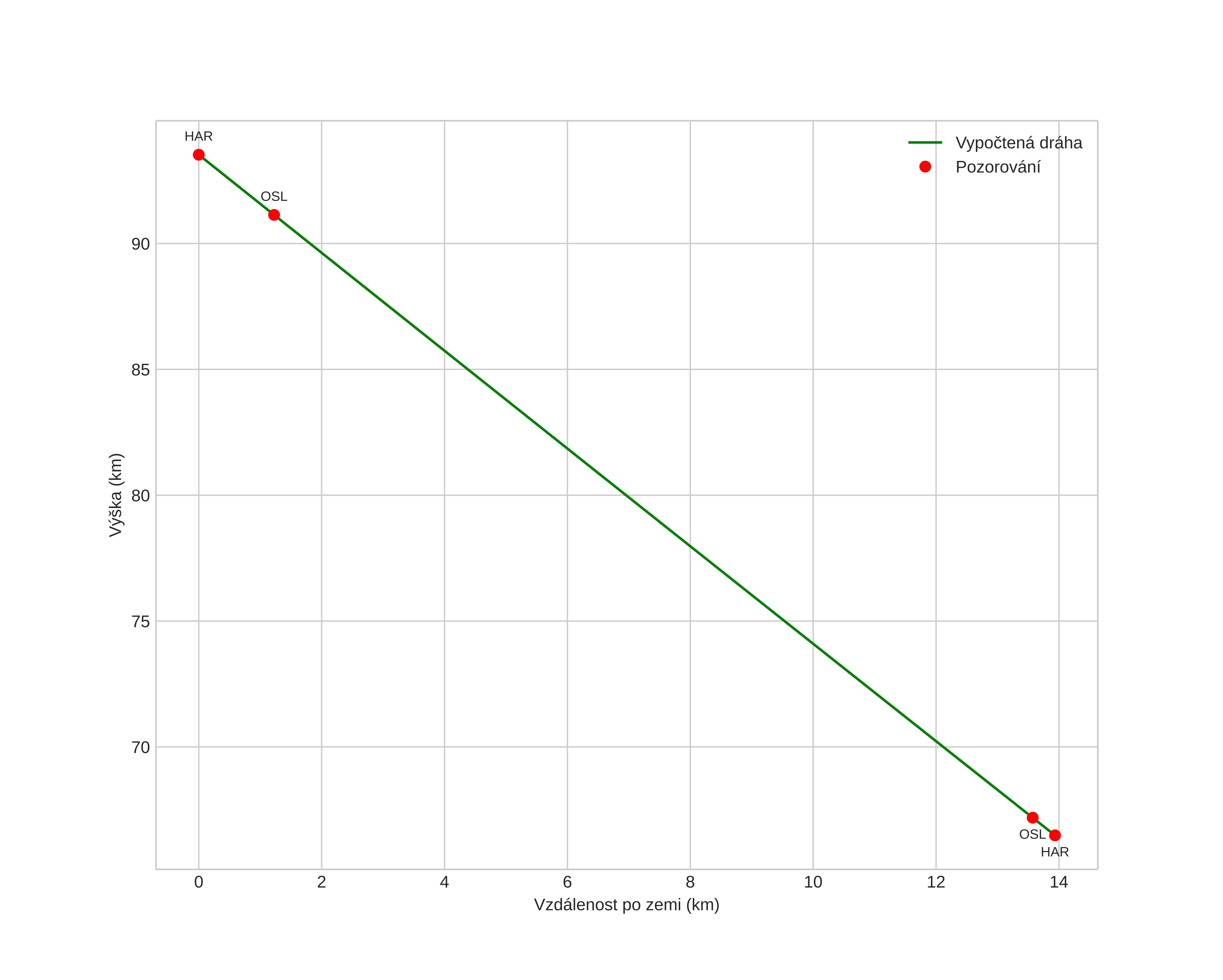
height profile
Atmosférická dráha meteoru:
Počáteční výška: 93,5 km
Konečná výška: 66,5 km
Počáteční poloha: 59,866N 10,030E
Konečná poloha: 59,990N 9,994E
Směr: 351,8°
Sklon: 62,7°
VstupnĂ­ rychlost: 30,4 km/s
Rektascenze radiantu: 07:41 (115,3°)
Deklinace radiantu: 31,7°
MeteorickĂ˝ roj: Geminidy
Elementy dráhy meteoroidu:
Vzdálenost v periheliu: 0,182 AU
Excentricita: 0,816
Sklon dráhy: 16,6°
Délka vzestupného uzlu: 262,5°
Argument perihelia: 324,6°
Střední anomálie: 316,9°
Epocha: 2015 DEC 15 01:12:55
orbit plot

NeinteraktivnĂ­ graf | InteraktivnĂ­ graf

position vs time
speed and acceleration