🇳🇴 🇬🇧 🇩🇪 🇨🇿 🇫🇮

Meteor, poloha: Dovre 2015-12-15 01:25:52 UTC

Soubor KML  |  InteraktivnĂ­ mapa

Mapa zobrazuje dráhy meteoru. Světlejší čáry ukazují směry od pozorovacích stanic při objevení se meteoru a tmavší čáry, kde byl naposledy viděn. Modrá šipka značí viditelnou dráhu meteoru.

static map
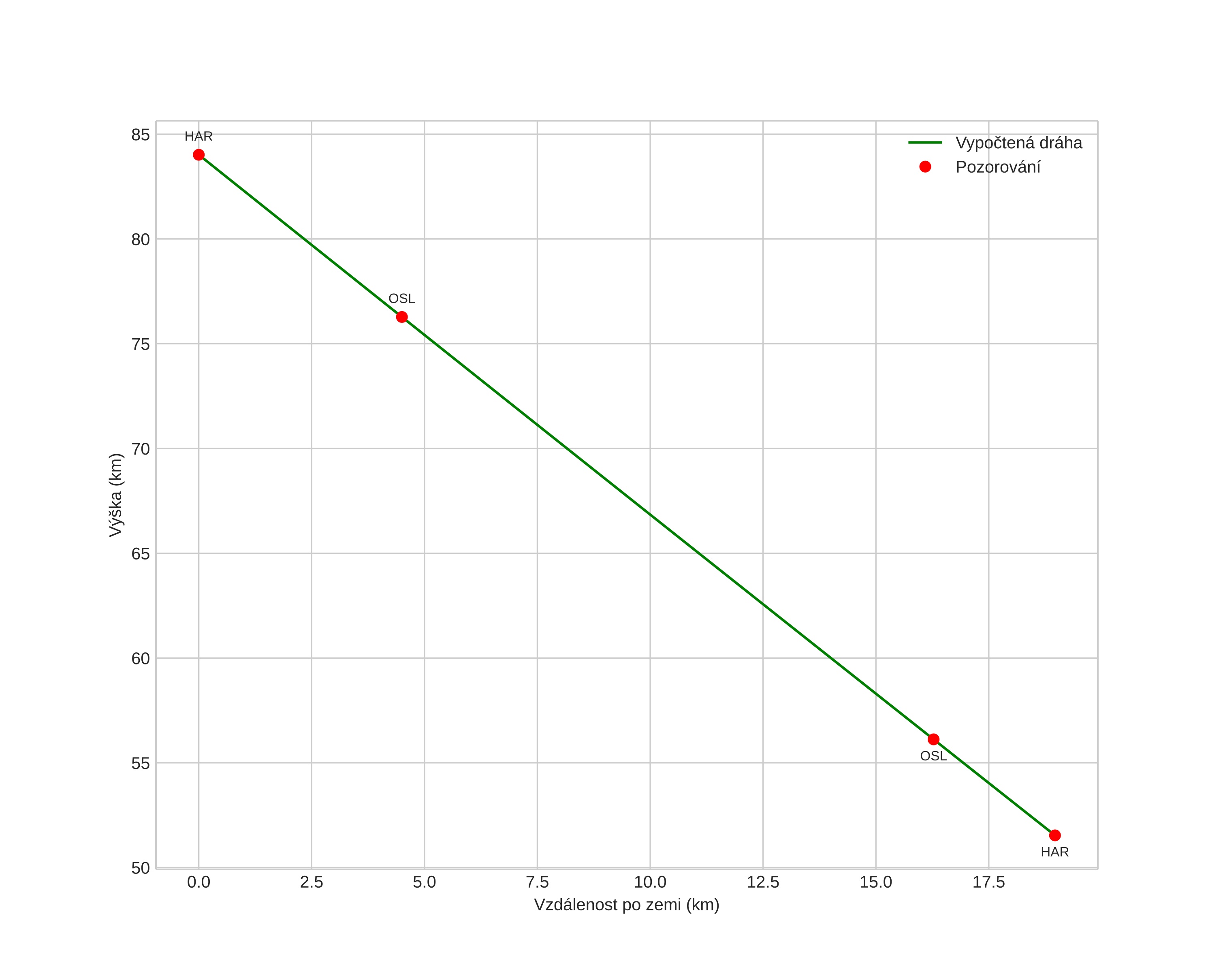
height profile
Atmosférická dráha meteoru:
Počáteční výška: 84,0 km
Konečná výška: 51,5 km
Počáteční poloha: 61,606N 9,319E
Konečná poloha: 61,777N 9,302E
Směr: 357,2°
Sklon: 59,7°
VstupnĂ­ rychlost: 29,6 km/s
Rektascenze radiantu: 07:40 (115,1°)
Deklinace radiantu: 30,1°
MeteorickĂ˝ roj: Geminidy
Elementy dráhy meteoroidu:
Vzdálenost v periheliu: 0,185 AU
Excentricita: 0,807
Sklon dráhy: 13,5°
Délka vzestupného uzlu: 262,5°
Argument perihelia: 325,0°
Střední anomálie: 314,2°
Epocha: 2015 DEC 15 01:25:52
orbit plot

NeinteraktivnĂ­ graf | InteraktivnĂ­ graf

position vs time
speed and acceleration