🇳🇴 🇬🇧 🇩🇪 🇨🇿 🇫🇮

Meteor, poloha: Hvittingfoss 2015-12-15 01:38:57 UTC

Soubor KML  |  InteraktivnĂ­ mapa

Mapa zobrazuje dráhy meteoru. Světlejší čáry ukazují směry od pozorovacích stanic při objevení se meteoru a tmavší čáry, kde byl naposledy viděn. Modrá šipka značí viditelnou dráhu meteoru.

static map
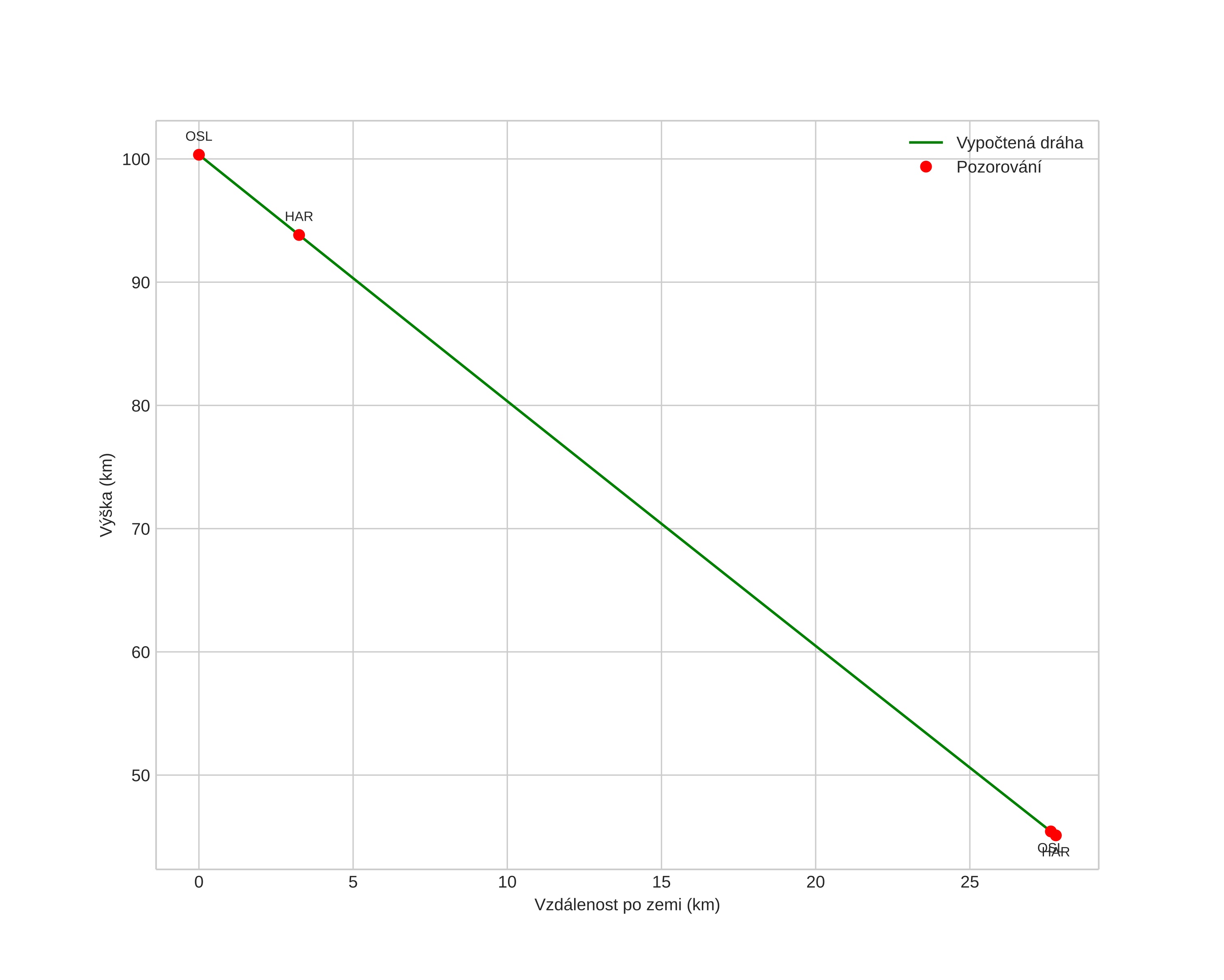
height profile
Atmosférická dráha meteoru:
Počáteční výška: 100,3 km
Konečná výška: 45,1 km
Počáteční poloha: 59,064N 9,979E
Konečná poloha: 59,313N 10,034E
Směr: 6,4°
Sklon: 63,3°
VstupnĂ­ rychlost: 36,8 km/s
Rektascenze radiantu: 07:35 (113,9°)
Deklinace radiantu: 31,7°
MeteorickĂ˝ roj: Geminidy
Elementy dráhy meteoroidu:
Vzdálenost v periheliu: 0,134 AU
Excentricita: 0,905
Sklon dráhy: 23,3°
Délka vzestupného uzlu: 262,5°
Argument perihelia: 324,8°
Střední anomálie: 338,5°
Epocha: 2015 DEC 15 01:38:57
orbit plot

NeinteraktivnĂ­ graf | InteraktivnĂ­ graf

position vs time
speed and acceleration