🇳🇴 🇬🇧 🇩🇪 🇨🇿 🇫🇮

Meteor, poloha: Geilo 2015-12-15 02:18:13 UTC

Soubor KML  |  InteraktivnĂ­ mapa

Mapa zobrazuje dráhy meteoru. Světlejší čáry ukazují směry od pozorovacích stanic při objevení se meteoru a tmavší čáry, kde byl naposledy viděn. Modrá šipka značí viditelnou dráhu meteoru.

static map
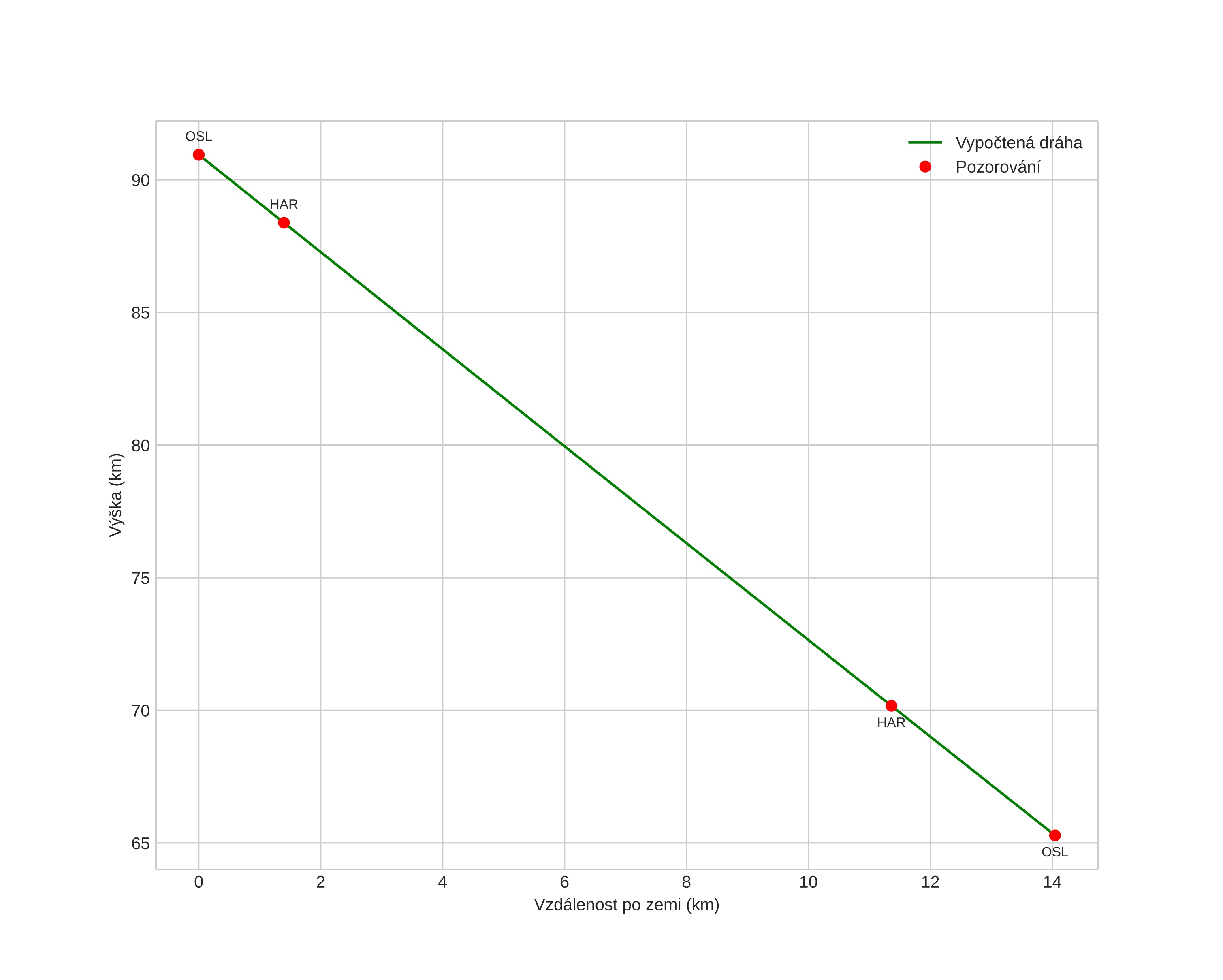
height profile
Atmosférická dráha meteoru:
Počáteční výška: 90,9 km
Konečná výška: 65,3 km
Počáteční poloha: 60,205N 7,833E
Konečná poloha: 60,320N 7,940E
Směr: 24,7°
Sklon: 61,3°
VstupnĂ­ rychlost: 31,3 km/s
Rektascenze radiantu: 07:23 (110,9°)
Deklinace radiantu: 31,8°
MeteorickĂ˝ roj: Geminidy
Elementy dráhy meteoroidu:
Vzdálenost v periheliu: 0,207 AU
Excentricita: 0,821
Sklon dráhy: 15,4°
Délka vzestupného uzlu: 262,5°
Argument perihelia: 318,7°
Střední anomálie: 326,8°
Epocha: 2015 DEC 15 02:18:13
orbit plot

NeinteraktivnĂ­ graf | InteraktivnĂ­ graf

position vs time
speed and acceleration