🇳🇴 🇬🇧 🇩🇪 🇨🇿 🇫🇮

Meteor, poloha: Rollag 2015-12-15 02:52:22 UTC

Soubor KML  |  InteraktivnĂ­ mapa

Mapa zobrazuje dráhy meteoru. Světlejší čáry ukazují směry od pozorovacích stanic při objevení se meteoru a tmavší čáry, kde byl naposledy viděn. Modrá šipka značí viditelnou dráhu meteoru.

static map
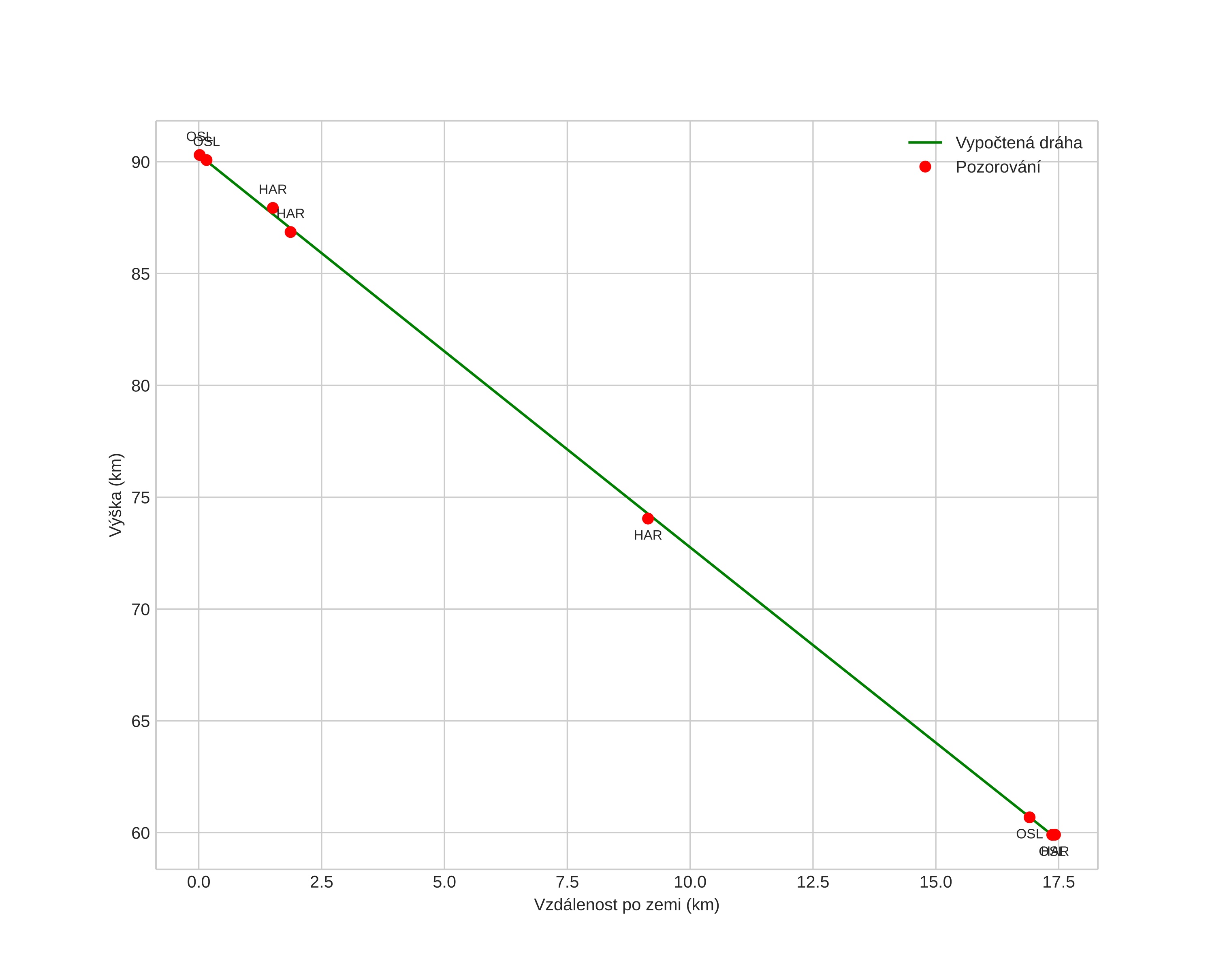
height profile
Atmosférická dráha meteoru:
Počáteční výška: 90,3 km
Konečná výška: 59,9 km
Počáteční poloha: 59,926N 9,249E
Konečná poloha: 60,055N 9,425E
Směr: 34,3°
Sklon: 60,2°
VstupnĂ­ rychlost: 32,7 km/s
Rektascenze radiantu: 07:40 (115,2°)
Deklinace radiantu: 32,0°
MeteorickĂ˝ roj: Geminidy
Elementy dráhy meteoroidu:
Vzdálenost v periheliu: 0,163 AU
Excentricita: 0,851
Sklon dráhy: 19,7°
Délka vzestupného uzlu: 262,6°
Argument perihelia: 324,7°
Střední anomálie: 324,8°
Epocha: 2015 DEC 15 02:52:22
orbit plot

NeinteraktivnĂ­ graf | InteraktivnĂ­ graf

position vs time
speed and acceleration