🇳🇴 🇬🇧 🇩🇪 🇨🇿 🇫🇮

Meteor, poloha: Färgelanda 2015-12-15 02:59:23 UTC

Soubor KML  |  InteraktivnĂ­ mapa

Mapa zobrazuje dráhy meteoru. Světlejší čáry ukazují směry od pozorovacích stanic při objevení se meteoru a tmavší čáry, kde byl naposledy viděn. Modrá šipka značí viditelnou dráhu meteoru.

static map
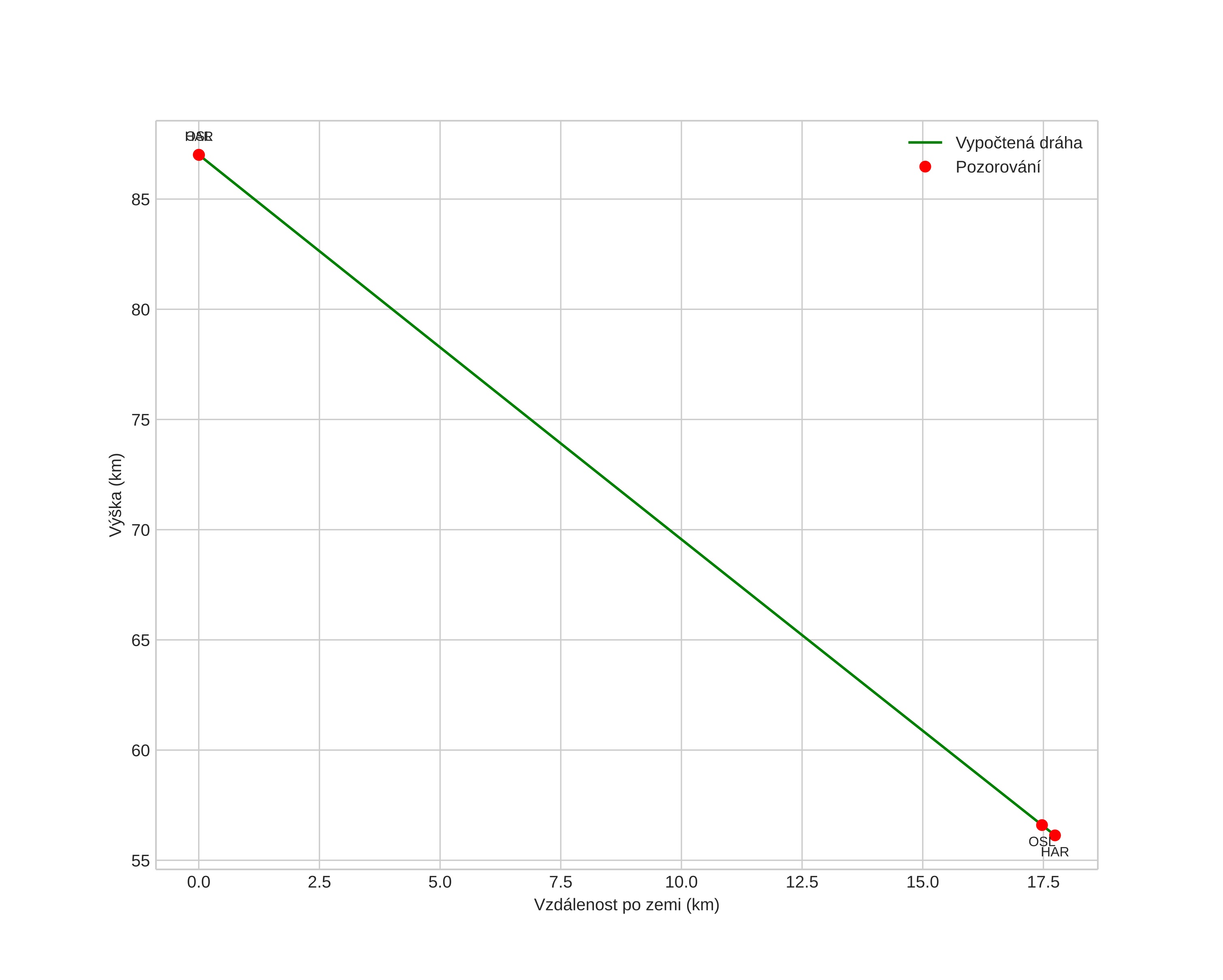
height profile
Atmosférická dráha meteoru:
Počáteční výška: 87,0 km
Konečná výška: 56,1 km
Počáteční poloha: 58,495N 11,575E
Konečná poloha: 58,599N 11,807E
Směr: 49,3°
Sklon: 60,1°
VstupnĂ­ rychlost: 32,1 km/s
Rektascenze radiantu: 07:24 (111,2°)
Deklinace radiantu: 33,7°
MeteorickĂ˝ roj: Geminidy
Elementy dráhy meteoroidu:
Vzdálenost v periheliu: 0,207 AU
Excentricita: 0,829
Sklon dráhy: 18,9°
Délka vzestupného uzlu: 262,6°
Argument perihelia: 317,9°
Střední anomálie: 329,4°
Epocha: 2015 DEC 15 02:59:23
orbit plot

NeinteraktivnĂ­ graf | InteraktivnĂ­ graf

position vs time
speed and acceleration