🇳🇴 🇬🇧 🇩🇪 🇨🇿 🇫🇮

Meteor, poloha: Blakstad 2015-12-15 03:13:14 UTC

Soubor KML  |  InteraktivnĂ­ mapa

Mapa zobrazuje dráhy meteoru. Světlejší čáry ukazují směry od pozorovacích stanic při objevení se meteoru a tmavší čáry, kde byl naposledy viděn. Modrá šipka značí viditelnou dráhu meteoru.

static map
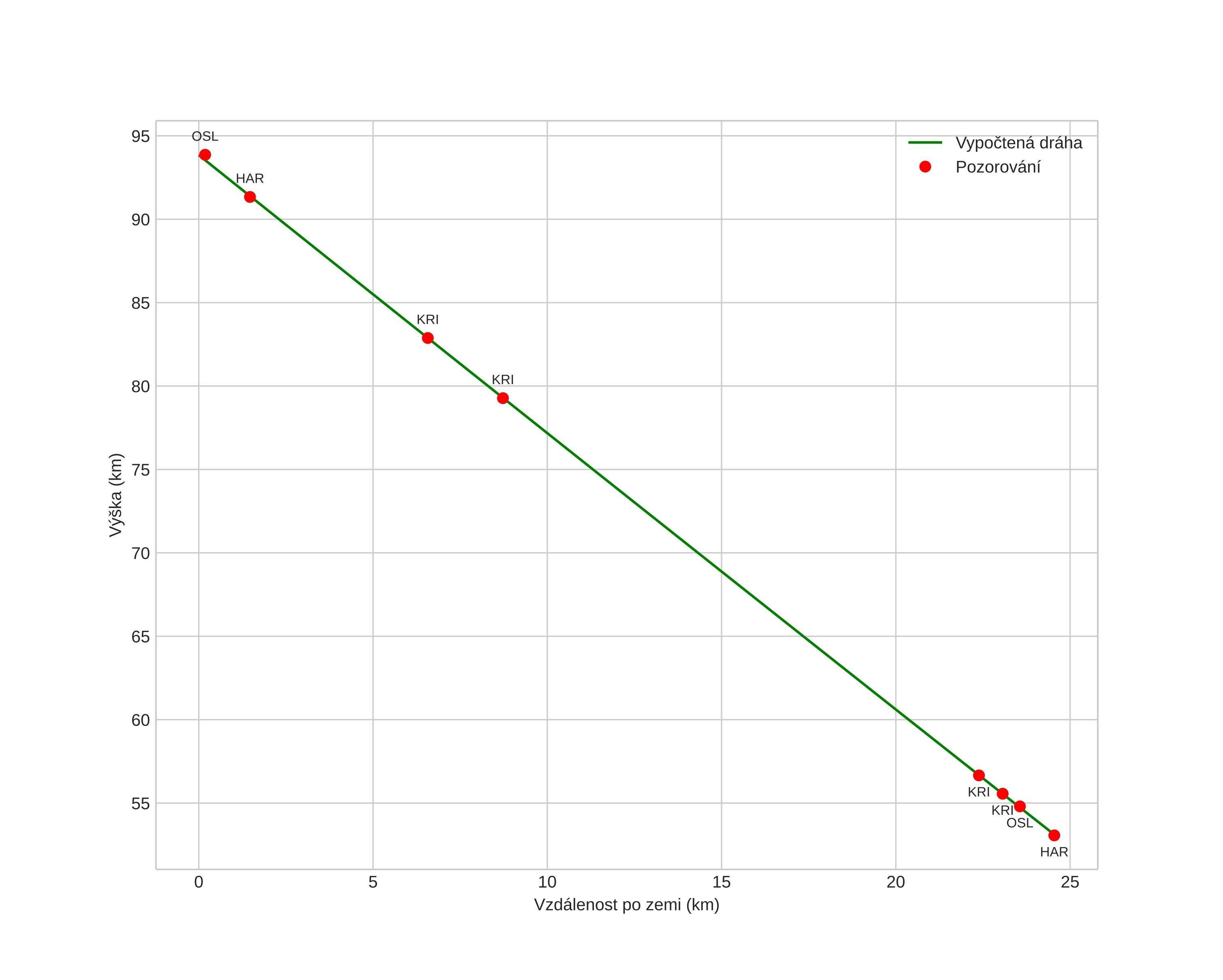
height profile
Atmosférická dráha meteoru:
Počáteční výška: 93,8 km
Konečná výška: 53,1 km
Počáteční poloha: 58,455N 8,405E
Konečná poloha: 58,615N 8,695E
Směr: 43,2°
Sklon: 58,9°
VstupnĂ­ rychlost: 36,3 km/s
Rektascenze radiantu: 07:37 (114,4°)
Deklinace radiantu: 31,3°
MeteorickĂ˝ roj: Geminidy
Elementy dráhy meteoroidu:
Vzdálenost v periheliu: 0,132 AU
Excentricita: 0,902
Sklon dráhy: 22,4°
Délka vzestupného uzlu: 262,6°
Argument perihelia: 325,6°
Střední anomálie: 336,7°
Epocha: 2015 DEC 15 03:13:14
orbit plot

NeinteraktivnĂ­ graf | InteraktivnĂ­ graf

position vs time
speed and acceleration