🇳🇴 🇬🇧 🇩🇪 🇨🇿 🇫🇮

Meteor, poloha: Brastad 2015-12-15 03:19:06 UTC

Soubor KML  |  InteraktivnĂ­ mapa

Mapa zobrazuje dráhy meteoru. Světlejší čáry ukazují směry od pozorovacích stanic při objevení se meteoru a tmavší čáry, kde byl naposledy viděn. Modrá šipka značí viditelnou dráhu meteoru.

static map
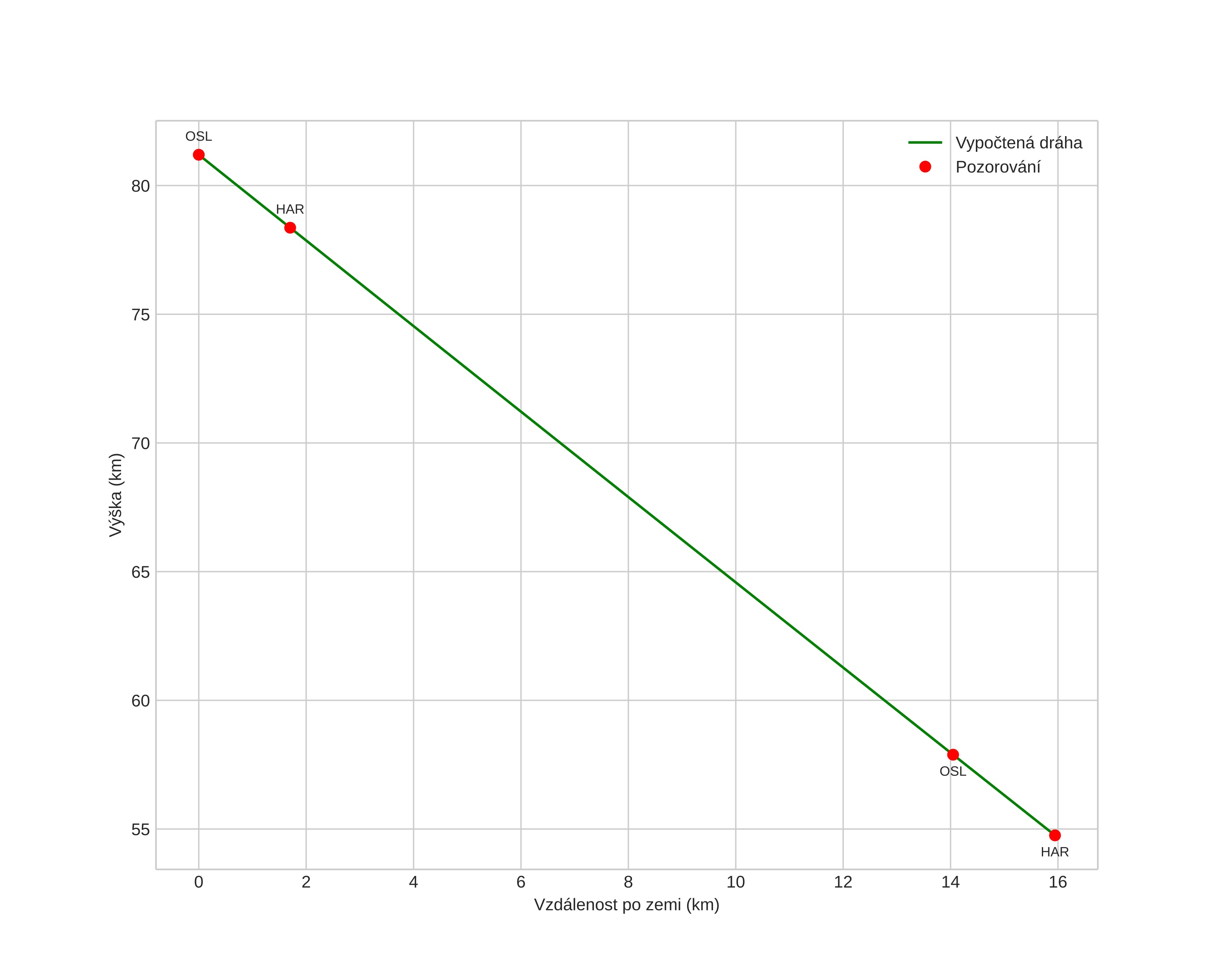
height profile
Atmosférická dráha meteoru:
Počáteční výška: 81,2 km
Konečná výška: 54,8 km
Počáteční poloha: 58,398N 11,203E
Konečná poloha: 58,472N 11,438E
Směr: 59,0°
Sklon: 58,9°
VstupnĂ­ rychlost: 32,5 km/s
Rektascenze radiantu: 07:19 (109,8°)
Deklinace radiantu: 35,1°
MeteorickĂ˝ roj: Geminidy
Elementy dráhy meteoroidu:
Vzdálenost v periheliu: 0,223 AU
Excentricita: 0,831
Sklon dráhy: 20,5°
Délka vzestupného uzlu: 262,6°
Argument perihelia: 314,7°
Střední anomálie: 333,3°
Epocha: 2015 DEC 15 03:19:06
orbit plot

NeinteraktivnĂ­ graf | InteraktivnĂ­ graf

position vs time
speed and acceleration