🇳🇴 🇬🇧 🇩🇪 🇨🇿 🇫🇮

Meteor, poloha: Otta 2015-12-15 03:28:31 UTC

Soubor KML  |  InteraktivnĂ­ mapa

Mapa zobrazuje dráhy meteoru. Světlejší čáry ukazují směry od pozorovacích stanic při objevení se meteoru a tmavší čáry, kde byl naposledy viděn. Modrá šipka značí viditelnou dráhu meteoru.

static map
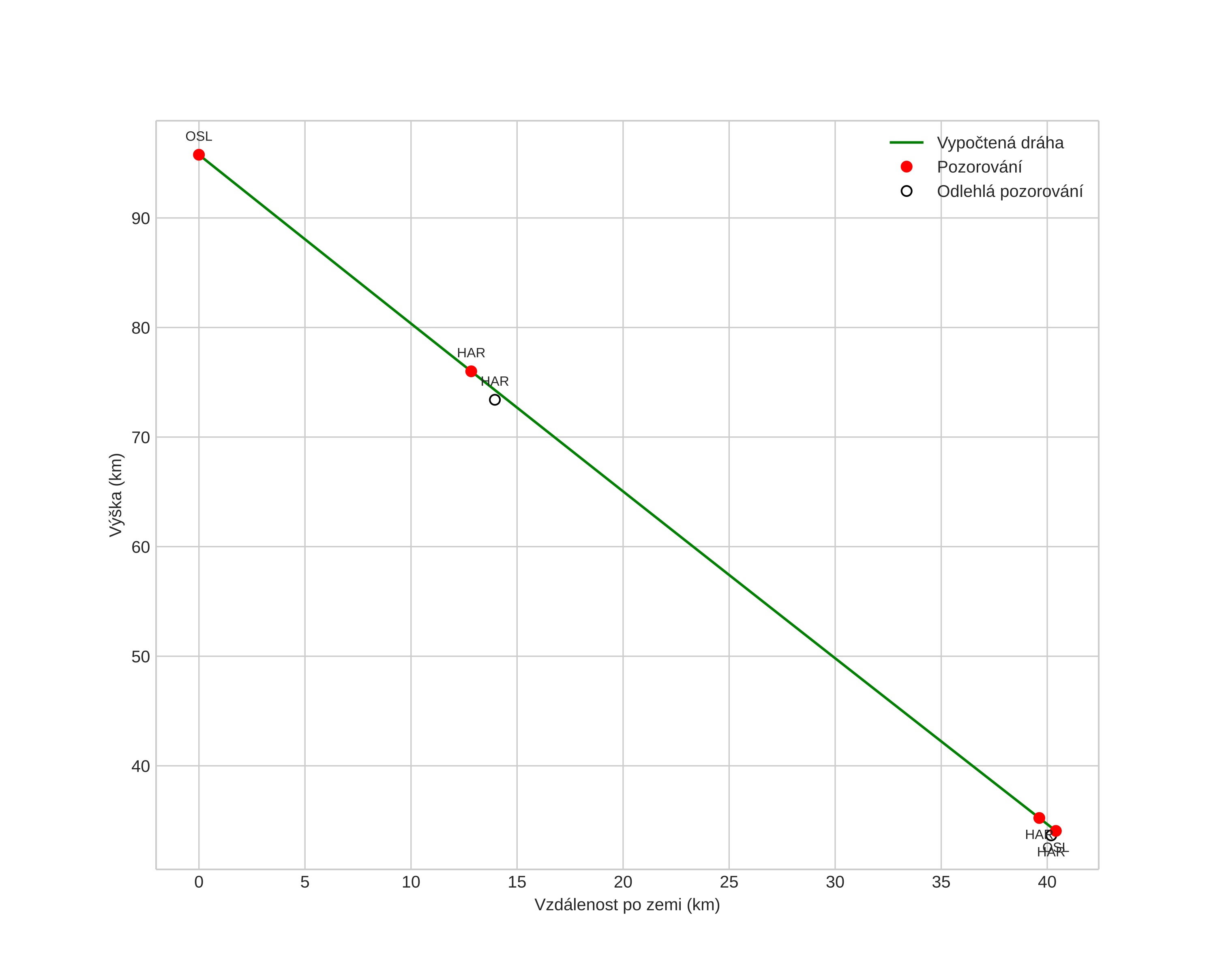
height profile
Atmosférická dráha meteoru:
Počáteční výška: 95,8 km
Konečná výška: 34,1 km
Počáteční poloha: 61,313N 8,800E
Konečná poloha: 61,547N 9,381E
Směr: 49,6°
Sklon: 56,8°
VstupnĂ­ rychlost: 37,3 km/s
Rektascenze radiantu: 07:32 (113,0°)
Deklinace radiantu: 33,4°
MeteorickĂ˝ roj: Geminidy
Elementy dráhy meteoroidu:
Vzdálenost v periheliu: 0,149 AU
Excentricita: 0,906
Sklon dráhy: 26,2°
Délka vzestupného uzlu: 262,6°
Argument perihelia: 321,8°
Střední anomálie: 341,9°
Epocha: 2015 DEC 15 03:28:31
orbit plot

NeinteraktivnĂ­ graf | InteraktivnĂ­ graf

position vs time
speed and acceleration