🇳🇴 🇬🇧 🇩🇪 🇨🇿 🇫🇮

Meteor, poloha: Utsira 2015-12-15 03:33:55 UTC

Soubor KML  |  InteraktivnĂ­ mapa

Mapa zobrazuje dráhy meteoru. Světlejší čáry ukazují směry od pozorovacích stanic při objevení se meteoru a tmavší čáry, kde byl naposledy viděn. Modrá šipka značí viditelnou dráhu meteoru.

static map
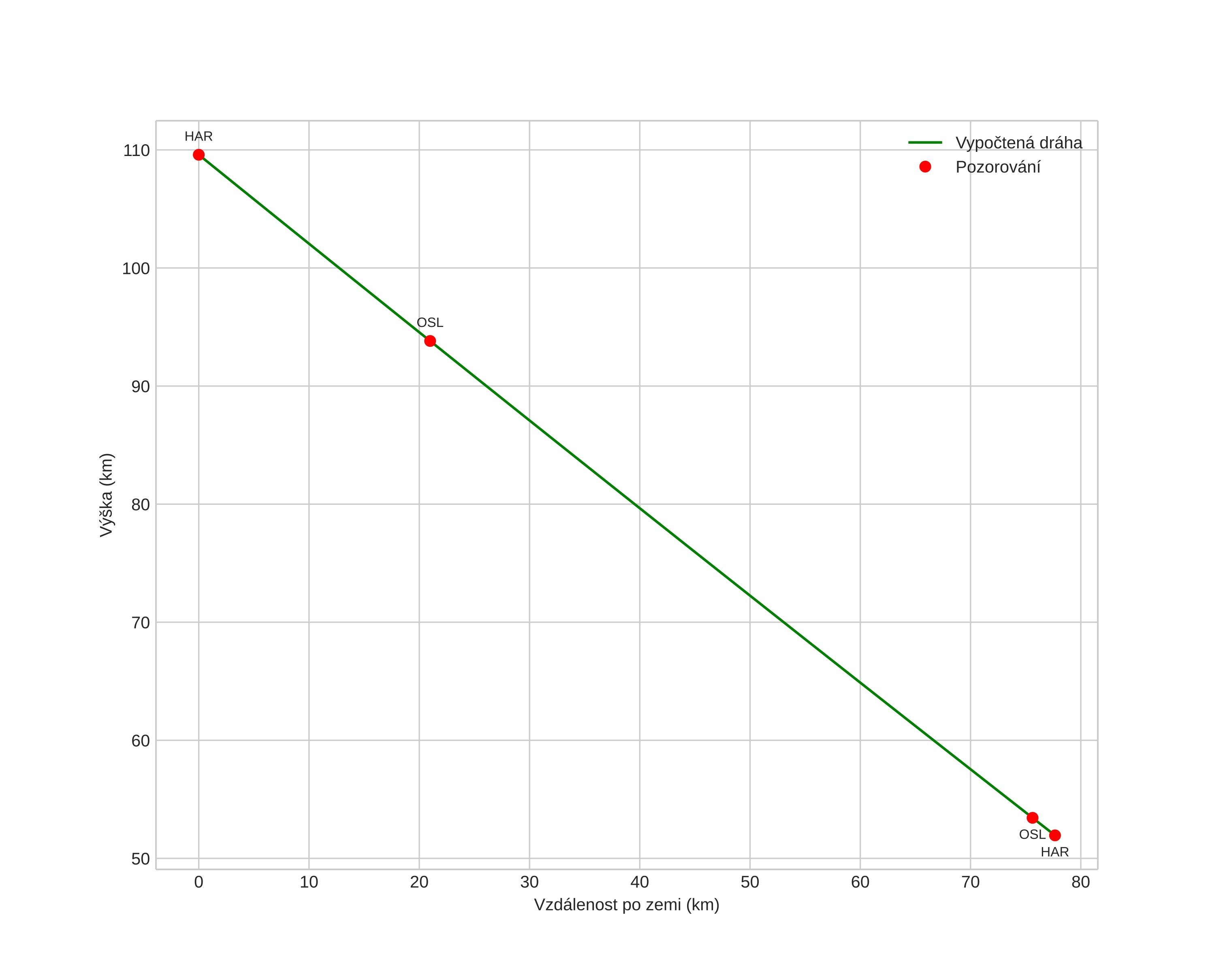
height profile
Atmosférická dráha meteoru:
Počáteční výška: 109,6 km
Konečná výška: 51,9 km
Počáteční poloha: 58,751N 0,613E
Konečná poloha: 59,072N 1,814E
Směr: 62,1°
Sklon: 36,6°
VstupnĂ­ rychlost: 70,4 km/s
Rektascenze radiantu: 05:54 (88,7°)
Deklinace radiantu: 17,9°
MeteorickĂ˝ roj: sporadickĂ˝
Elementy dráhy meteoroidu:
Vzdálenost v periheliu: 0,216 AU
Excentricita: 1,865
Sklon dráhy: 16,3°
Délka vzestupného uzlu: 82,6°
Argument perihelia: 101,5°
Střední anomálie: -168,7°
Epocha: 2015 DEC 15 03:33:55
orbit plot

NeinteraktivnĂ­ graf | InteraktivnĂ­ graf

position vs time
speed and acceleration