🇳🇴 🇬🇧 🇩🇪 🇨🇿 🇫🇮

Meteor, poloha: Rjukan 2015-12-15 04:07:31 UTC

Soubor KML  |  InteraktivnĂ­ mapa

Mapa zobrazuje dráhy meteoru. Světlejší čáry ukazují směry od pozorovacích stanic při objevení se meteoru a tmavší čáry, kde byl naposledy viděn. Modrá šipka značí viditelnou dráhu meteoru.

static map
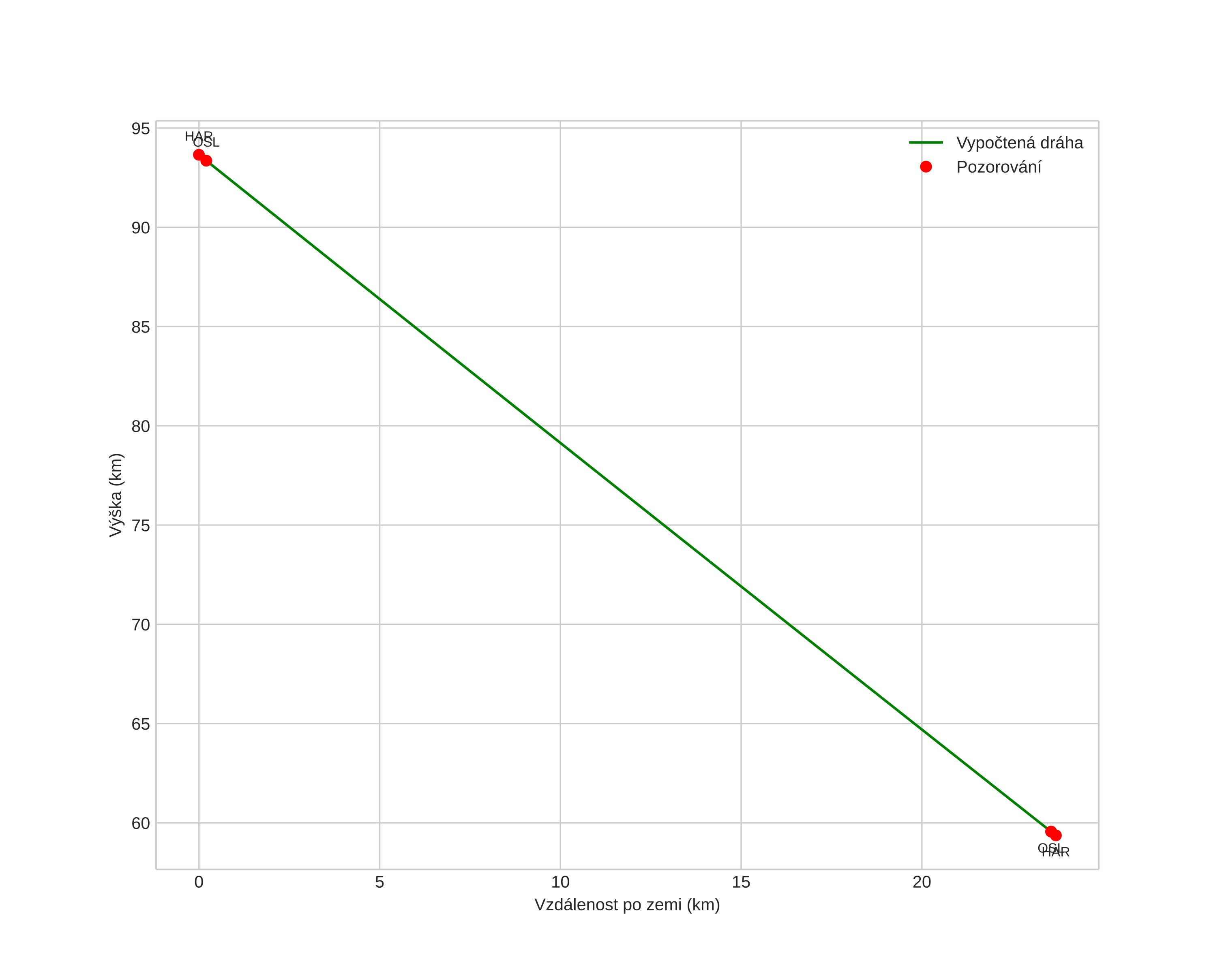
height profile
Atmosférická dráha meteoru:
Počáteční výška: 93,7 km
Konečná výška: 59,4 km
Počáteční poloha: 59,788N 7,875E
Konečná poloha: 59,901N 8,235E
Směr: 58,0°
Sklon: 55,3°
VstupnĂ­ rychlost: 31,2 km/s
Rektascenze radiantu: 07:45 (116,3°)
Deklinace radiantu: 32,8°
MeteorickĂ˝ roj: Geminidy
Elementy dráhy meteoroidu:
Vzdálenost v periheliu: 0,174 AU
Excentricita: 0,828
Sklon dráhy: 19,8°
Délka vzestupného uzlu: 262,6°
Argument perihelia: 324,9°
Střední anomálie: 319,1°
Epocha: 2015 DEC 15 04:07:31
orbit plot

NeinteraktivnĂ­ graf | InteraktivnĂ­ graf

position vs time
speed and acceleration