🇳🇴 🇬🇧 🇩🇪 🇨🇿 🇫🇮

Meteor, poloha: Skagen 2015-12-15 04:09:36 UTC

Soubor KML  |  InteraktivnĂ­ mapa

Mapa zobrazuje dráhy meteoru. Světlejší čáry ukazují směry od pozorovacích stanic při objevení se meteoru a tmavší čáry, kde byl naposledy viděn. Modrá šipka značí viditelnou dráhu meteoru.

static map
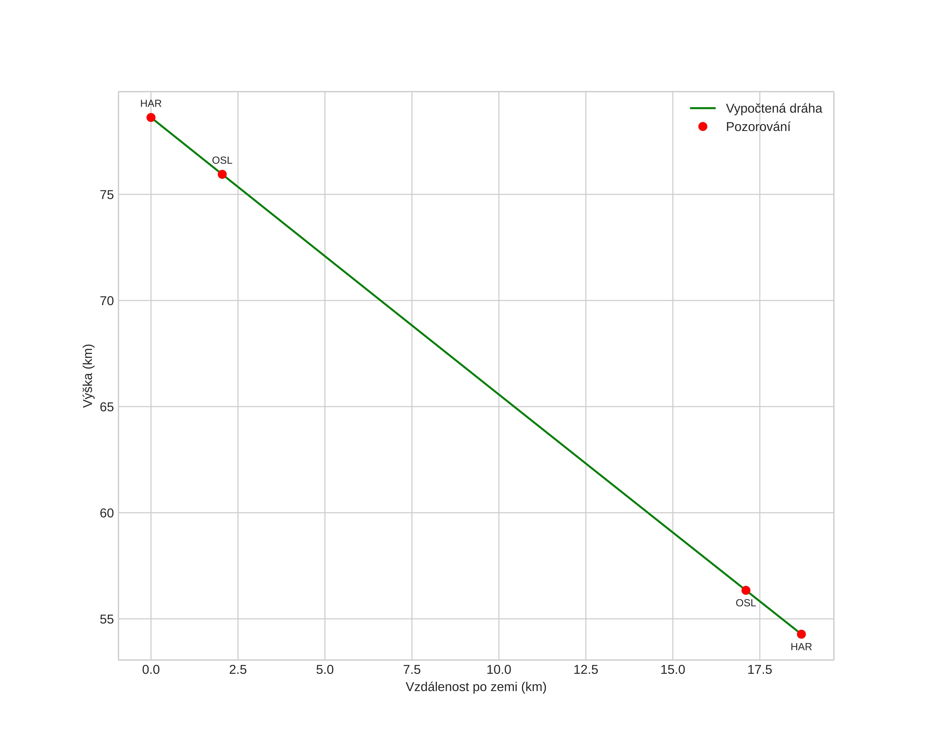
height profile
Atmosférická dráha meteoru:
Počáteční výška: 78,6 km
Konečná výška: 54,3 km
Počáteční poloha: 58,181N 10,151E
Konečná poloha: 58,266N 10,426E
Směr: 59,5°
Sklon: 52,4°
VstupnĂ­ rychlost: 30,7 km/s
Rektascenze radiantu: 07:47 (116,9°)
Deklinace radiantu: 29,3°
MeteorickĂ˝ roj: Geminidy
Elementy dráhy meteoroidu:
Vzdálenost v periheliu: 0,155 AU
Excentricita: 0,837
Sklon dráhy: 14,5°
Délka vzestupného uzlu: 262,6°
Argument perihelia: 328,2°
Střední anomálie: 315,4°
Epocha: 2015 DEC 15 04:09:36
orbit plot

NeinteraktivnĂ­ graf | InteraktivnĂ­ graf

position vs time
speed and acceleration