🇳🇴 🇬🇧 🇩🇪 🇨🇿 🇫🇮

Meteor, poloha: Drammen 2015-12-15 04:10:48 UTC

Soubor KML  |  InteraktivnĂ­ mapa

Mapa zobrazuje dráhy meteoru. Světlejší čáry ukazují směry od pozorovacích stanic při objevení se meteoru a tmavší čáry, kde byl naposledy viděn. Modrá šipka značí viditelnou dráhu meteoru.

static map
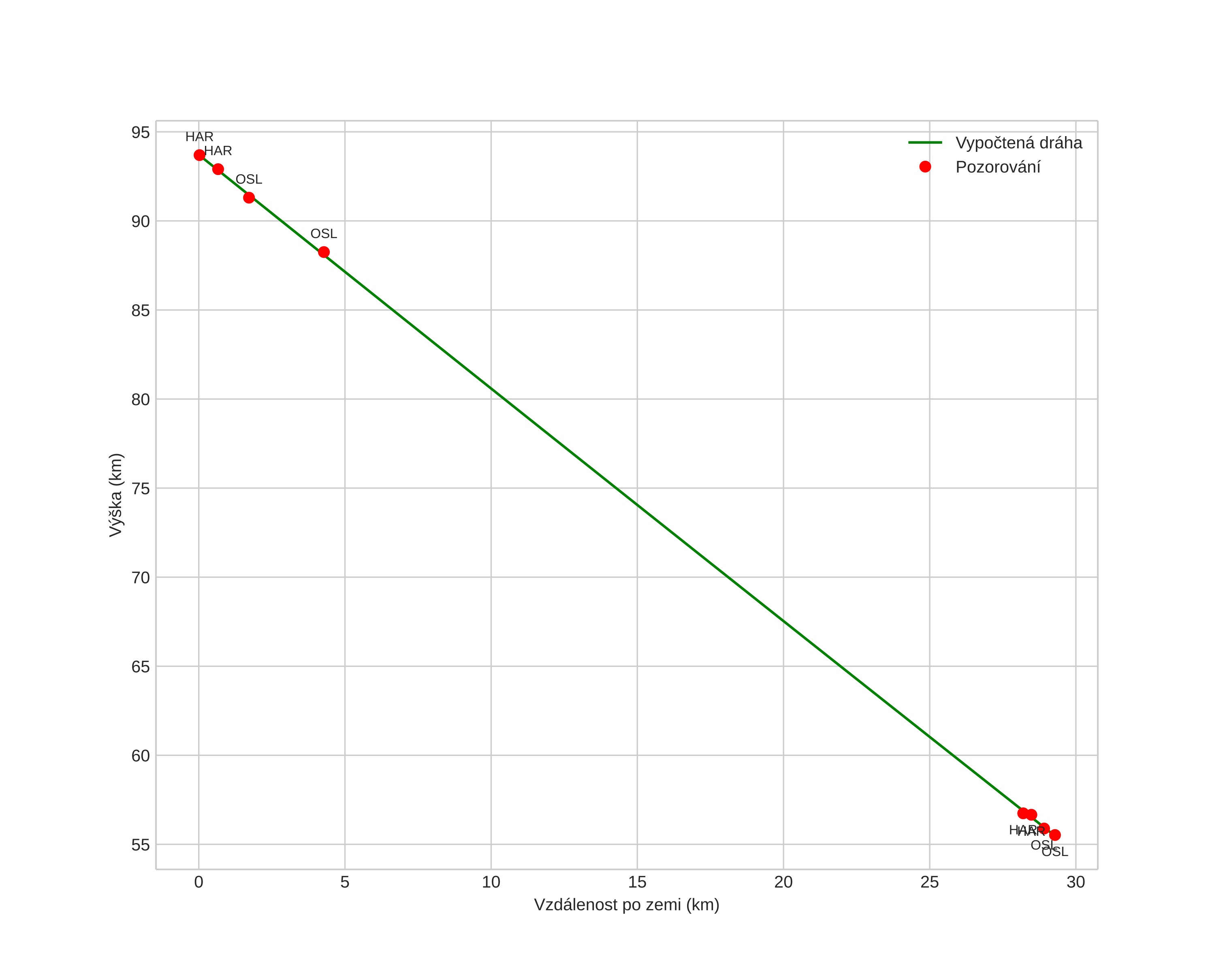
height profile
Atmosférická dráha meteoru:
Počáteční výška: 93,7 km
Konečná výška: 55,5 km
Počáteční poloha: 59,627N 9,758E
Konečná poloha: 59,739N 10,230E
Směr: 64,8°
Sklon: 52,5°
VstupnĂ­ rychlost: 32,2 km/s
Rektascenze radiantu: 07:32 (113,2°)
Deklinace radiantu: 32,4°
MeteorickĂ˝ roj: Geminidy
Elementy dráhy meteoroidu:
Vzdálenost v periheliu: 0,183 AU
Excentricita: 0,839
Sklon dráhy: 18,4°
Délka vzestupného uzlu: 262,6°
Argument perihelia: 321,6°
Střední anomálie: 326,6°
Epocha: 2015 DEC 15 04:10:48
orbit plot

NeinteraktivnĂ­ graf | InteraktivnĂ­ graf

position vs time
speed and acceleration