🇳🇴 🇬🇧 🇩🇪 🇨🇿 🇫🇮

Meteor, poloha: Tjøme 2015-12-15 04:12:22 UTC

Soubor KML  |  InteraktivnĂ­ mapa

Mapa zobrazuje dráhy meteoru. Světlejší čáry ukazují směry od pozorovacích stanic při objevení se meteoru a tmavší čáry, kde byl naposledy viděn. Modrá šipka značí viditelnou dráhu meteoru.

static map
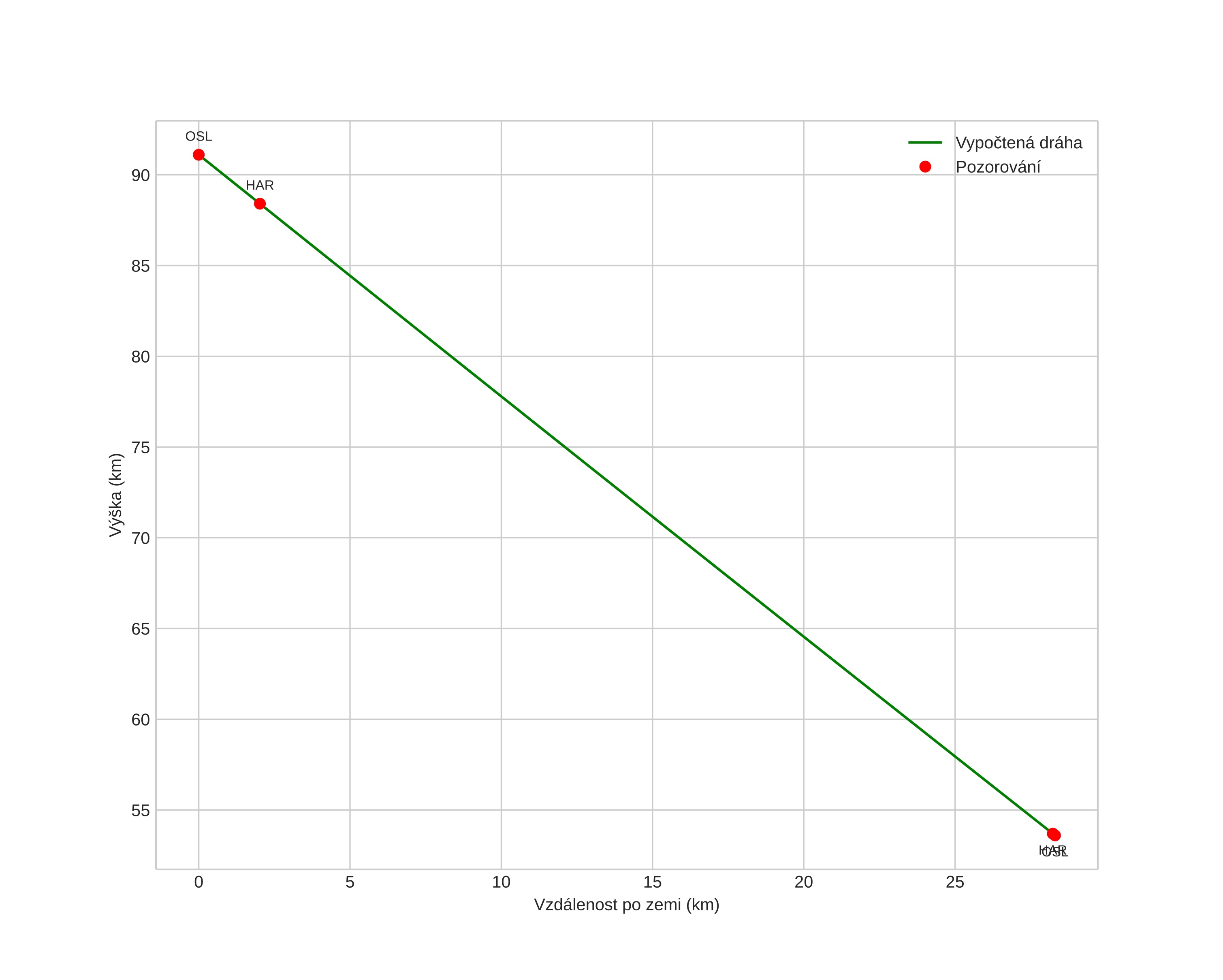
height profile
Atmosférická dráha meteoru:
Počáteční výška: 91,1 km
Konečná výška: 53,6 km
Počáteční poloha: 58,882N 9,906E
Konečná poloha: 58,977N 10,364E
Směr: 67,8°
Sklon: 53,0°
VstupnĂ­ rychlost: 32,0 km/s
Rektascenze radiantu: 07:29 (112,5°)
Deklinace radiantu: 33,2°
MeteorickĂ˝ roj: Geminidy
Elementy dráhy meteoroidu:
Vzdálenost v periheliu: 0,195 AU
Excentricita: 0,832
Sklon dráhy: 19,0°
Délka vzestupného uzlu: 262,6°
Argument perihelia: 320,0°
Střední anomálie: 327,5°
Epocha: 2015 DEC 15 04:12:22
orbit plot

NeinteraktivnĂ­ graf | InteraktivnĂ­ graf

position vs time
speed and acceleration