🇳🇴 🇬🇧 🇩🇪 🇨🇿 🇫🇮

Meteor Strain yllä 2015-12-15 04:25:50 UTC

KML-tiedosto  |  Interaktiivinen kartta

Kartta näyttää meteorin suuntahavainnot. Vaaleammat viivat näyttävät suunnat havaintoasemilta meteorin ilmestyessä, ja tummemmat viivat näyttävät, missä se viimeksi nähtiin. Sininen nuoli näyttää meteorin näkyvän lennon.

static map
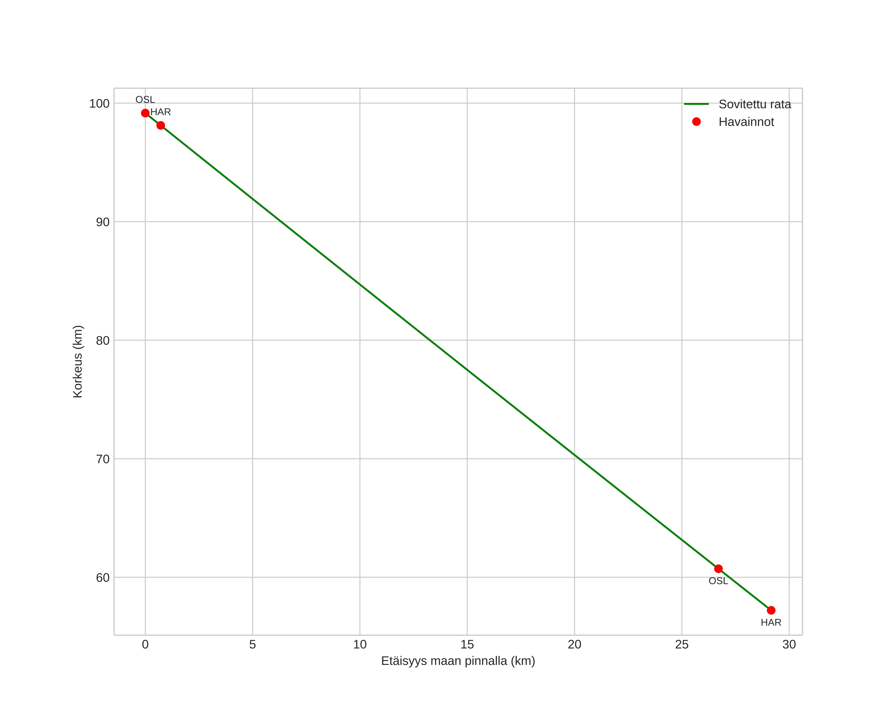
height profile
Meteorin ilmakehärata:
Alkukorkeus: 99,2 km
Loppukorkeus: 57,2 km
Alkupiste: 58,140N 7,464E
Loppupiste: 58,223N 7,935E
Suunta: 71,1°
Kallistuskulma: 55,2°
Tulonopeus: 34,8 km/s
Radiantin R,A,: 07:34 (113,7°)
Radiantin Dekl,: 35,9°
Meteoriparvi: Geminidit
Meteoroidin rataelementit:
Perihelietäisyys: 0,182 AU
Eksentrisyys: 0,865
Inklinaatio: 27,2°
Nousevan solmun pituus: 262,6°
Perihelin argumentti: 319,2°
Keskianomalia: 335,2°
Epookki: 2015 DEC 15 04:25:50
orbit plot

Ei-interaktiivinen kuvaaja | Interaktiivinen kuvaaja

position vs time
speed and acceleration