🇳🇴 🇬🇧 🇩🇪 🇨🇿 🇫🇮

Meteor, poloha: Vittsjö 2015-12-15 04:38:06 UTC

Soubor KML  |  InteraktivnĂ­ mapa

Mapa zobrazuje dráhy meteoru. Světlejší čáry ukazují směry od pozorovacích stanic při objevení se meteoru a tmavší čáry, kde byl naposledy viděn. Modrá šipka značí viditelnou dráhu meteoru.

static map
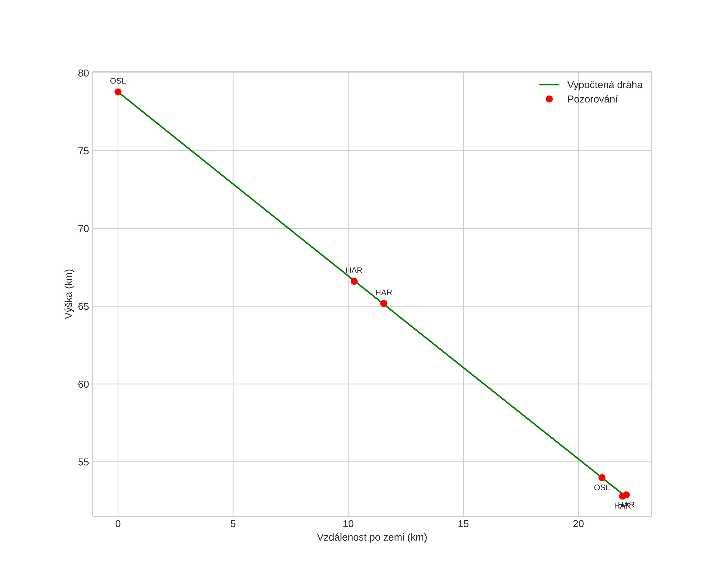
height profile
Atmosférická dráha meteoru:
Počáteční výška: 78,8 km
Konečná výška: 52,8 km
Počáteční poloha: 56,261N 13,217E
Konečná poloha: 56,333N 13,549E
Směr: 68,5°
Sklon: 49,7°
VstupnĂ­ rychlost: 31,3 km/s
Rektascenze radiantu: 08:02 (120,6°)
Deklinace radiantu: 28,8°
MeteorickĂ˝ roj: Geminidy
Elementy dráhy meteoroidu:
Vzdálenost v periheliu: 0,124 AU
Excentricita: 0,860
Sklon dráhy: 16,8°
Délka vzestupného uzlu: 262,6°
Argument perihelia: 332,9°
Střední anomálie: 311,5°
Epocha: 2015 DEC 15 04:38:06
orbit plot

NeinteraktivnĂ­ graf | InteraktivnĂ­ graf

position vs time
speed and acceleration