🇳🇴 🇬🇧 🇩🇪 🇨🇿 🇫🇮

Meteor, poloha: Tingvoll 2015-12-15 04:41:53 UTC

Soubor KML  |  InteraktivnĂ­ mapa

Mapa zobrazuje dráhy meteoru. Světlejší čáry ukazují směry od pozorovacích stanic při objevení se meteoru a tmavší čáry, kde byl naposledy viděn. Modrá šipka značí viditelnou dráhu meteoru.

static map
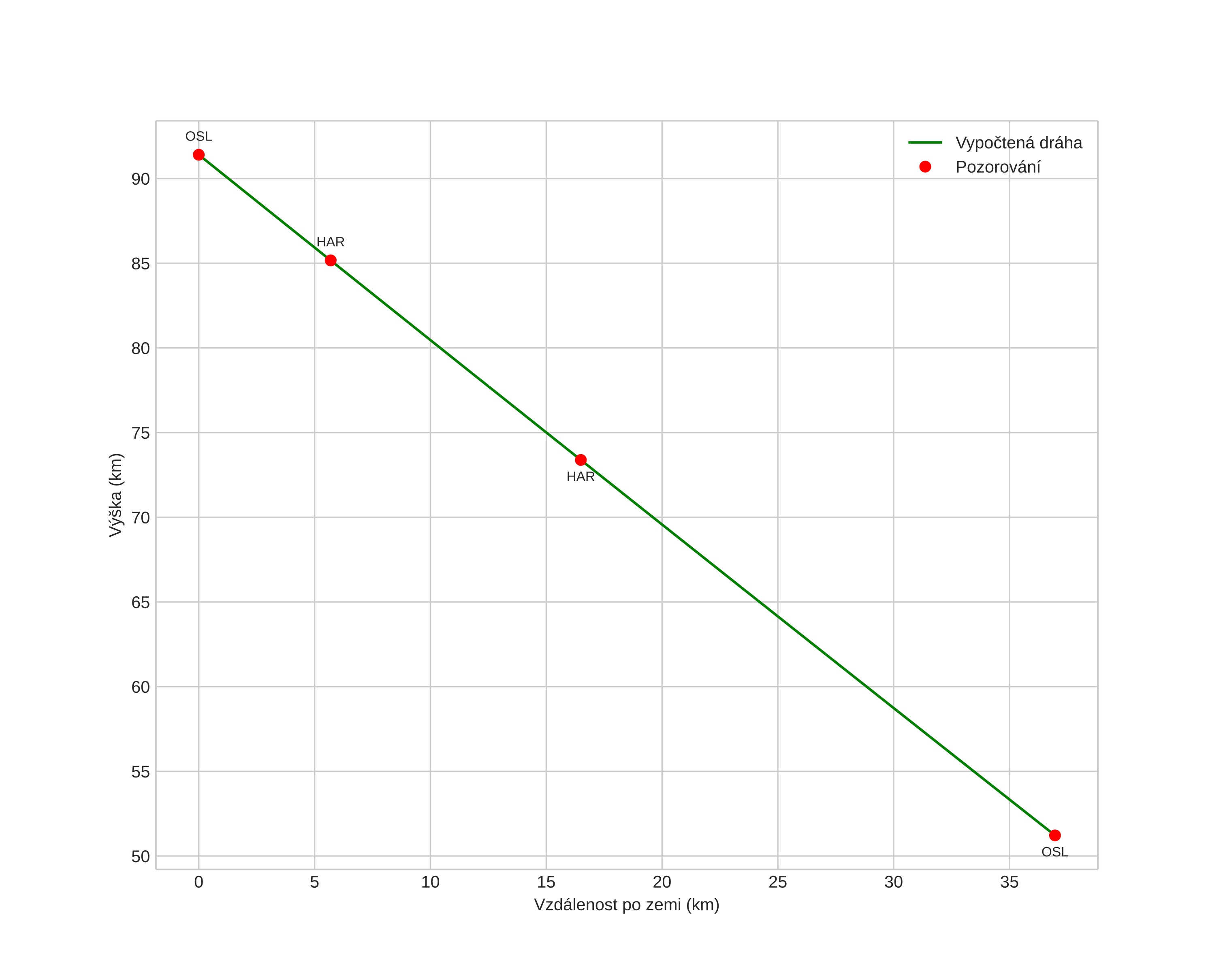
height profile
Atmosférická dráha meteoru:
Počáteční výška: 91,4 km
Konečná výška: 51,2 km
Počáteční poloha: 62,791N 7,656E
Konečná poloha: 62,967N 8,274E
Směr: 57,7°
Sklon: 47,4°
VstupnĂ­ rychlost: 33,6 km/s
Rektascenze radiantu: 07:57 (119,5°)
Deklinace radiantu: 28,0°
MeteorickĂ˝ roj: Geminidy
Elementy dráhy meteoroidu:
Vzdálenost v periheliu: 0,106 AU
Excentricita: 0,891
Sklon dráhy: 17,0°
Délka vzestupného uzlu: 262,6°
Argument perihelia: 333,4°
Střední anomálie: 320,1°
Epocha: 2015 DEC 15 04:41:53
orbit plot

NeinteraktivnĂ­ graf | InteraktivnĂ­ graf

position vs time
speed and acceleration