🇳🇴 🇬🇧 🇩🇪 🇨🇿 🇫🇮

Meteor, poloha: Farnes 2015-12-15 04:48:53 UTC

Soubor KML  |  InteraktivnĂ­ mapa

Mapa zobrazuje dráhy meteoru. Světlejší čáry ukazují směry od pozorovacích stanic při objevení se meteoru a tmavší čáry, kde byl naposledy viděn. Modrá šipka značí viditelnou dráhu meteoru.

static map
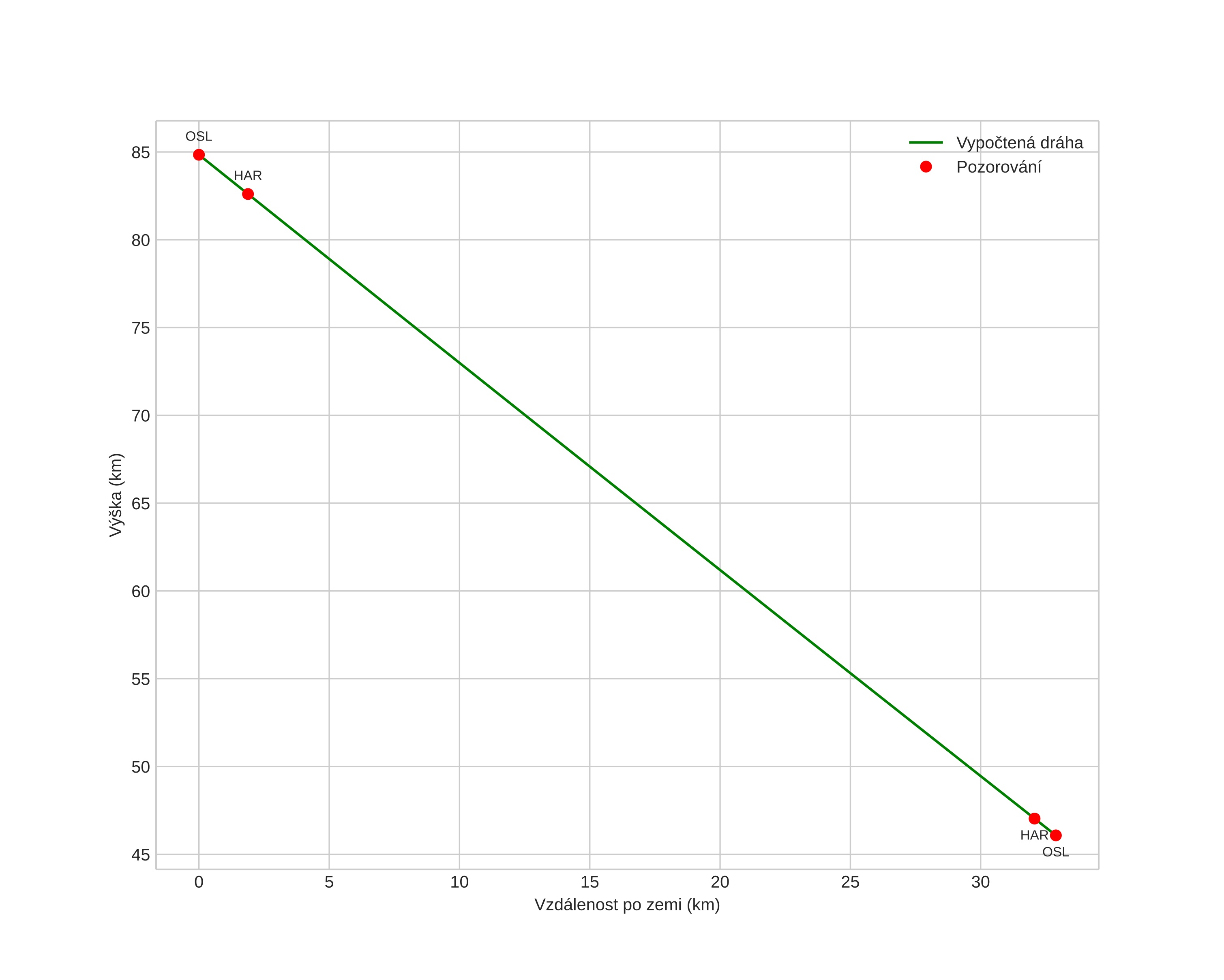
height profile
Atmosférická dráha meteoru:
Počáteční výška: 84,8 km
Konečná výška: 46,1 km
Počáteční poloha: 61,345N 7,098E
Konečná poloha: 61,472N 7,656E
Směr: 64,2°
Sklon: 49,6°
VstupnĂ­ rychlost: 31,8 km/s
Rektascenze radiantu: 07:51 (117,9°)
Deklinace radiantu: 30,9°
MeteorickĂ˝ roj: Geminidy
Elementy dráhy meteoroidu:
Vzdálenost v periheliu: 0,146 AU
Excentricita: 0,850
Sklon dráhy: 18,8°
Délka vzestupného uzlu: 262,7°
Argument perihelia: 328,6°
Střední anomálie: 318,0°
Epocha: 2015 DEC 15 04:48:53
orbit plot

NeinteraktivnĂ­ graf | InteraktivnĂ­ graf

position vs time
speed and acceleration