🇳🇴 🇬🇧 🇩🇪 🇨🇿 🇫🇮

Meteor, poloha: Falkhytta 2015-12-15 05:22:31 UTC

Soubor KML  |  InteraktivnĂ­ mapa

Mapa zobrazuje dráhy meteoru. Světlejší čáry ukazují směry od pozorovacích stanic při objevení se meteoru a tmavší čáry, kde byl naposledy viděn. Modrá šipka značí viditelnou dráhu meteoru.

static map
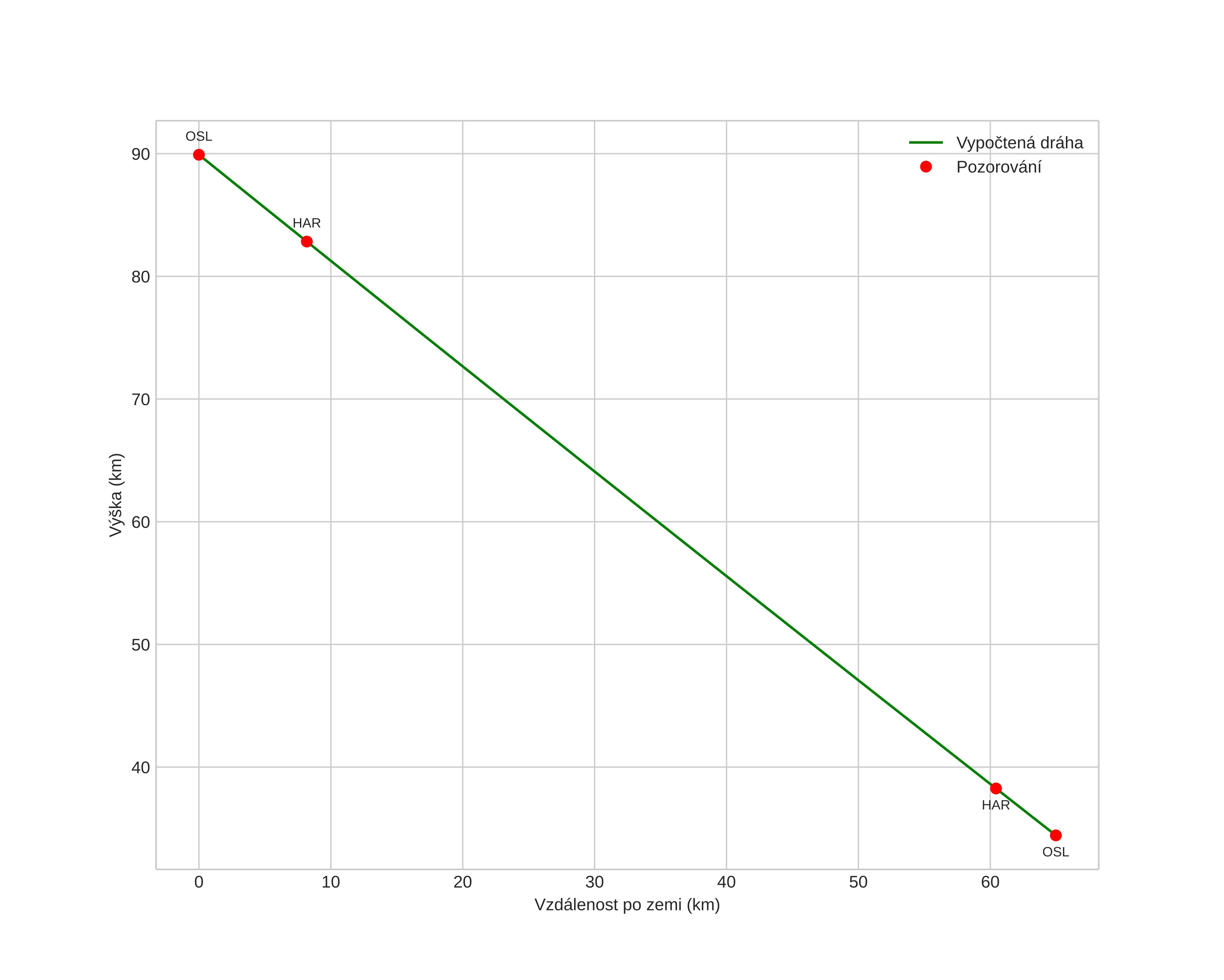
height profile
Atmosférická dráha meteoru:
Počáteční výška: 89,9 km
Konečná výška: 34,4 km
Počáteční poloha: 62,963N 5,832E
Konečná poloha: 63,475N 6,455E
Směr: 28,4°
Sklon: 40,5°
VstupnĂ­ rychlost: 32,5 km/s
Rektascenze radiantu: 09:47 (146,9°)
Deklinace radiantu: 14,3°
MeteorickĂ˝ roj: sporadickĂ˝
Elementy dráhy meteoroidu:
Vzdálenost v periheliu: 0,006 AU
Excentricita: 0,989
Sklon dráhy: 8,5°
Délka vzestupného uzlu: 262,7°
Argument perihelia: 356,8°
Střední anomálie: 258,1°
Epocha: 2015 DEC 15 05:22:31
orbit plot

NeinteraktivnĂ­ graf | InteraktivnĂ­ graf

position vs time
speed and acceleration