🇳🇴 🇬🇧 🇩🇪 🇨🇿 🇫🇮

Meteor, poloha: Førde 2015-12-15 05:30:32 UTC

Soubor KML  |  InteraktivnĂ­ mapa

Mapa zobrazuje dráhy meteoru. Světlejší čáry ukazují směry od pozorovacích stanic při objevení se meteoru a tmavší čáry, kde byl naposledy viděn. Modrá šipka značí viditelnou dráhu meteoru.

static map
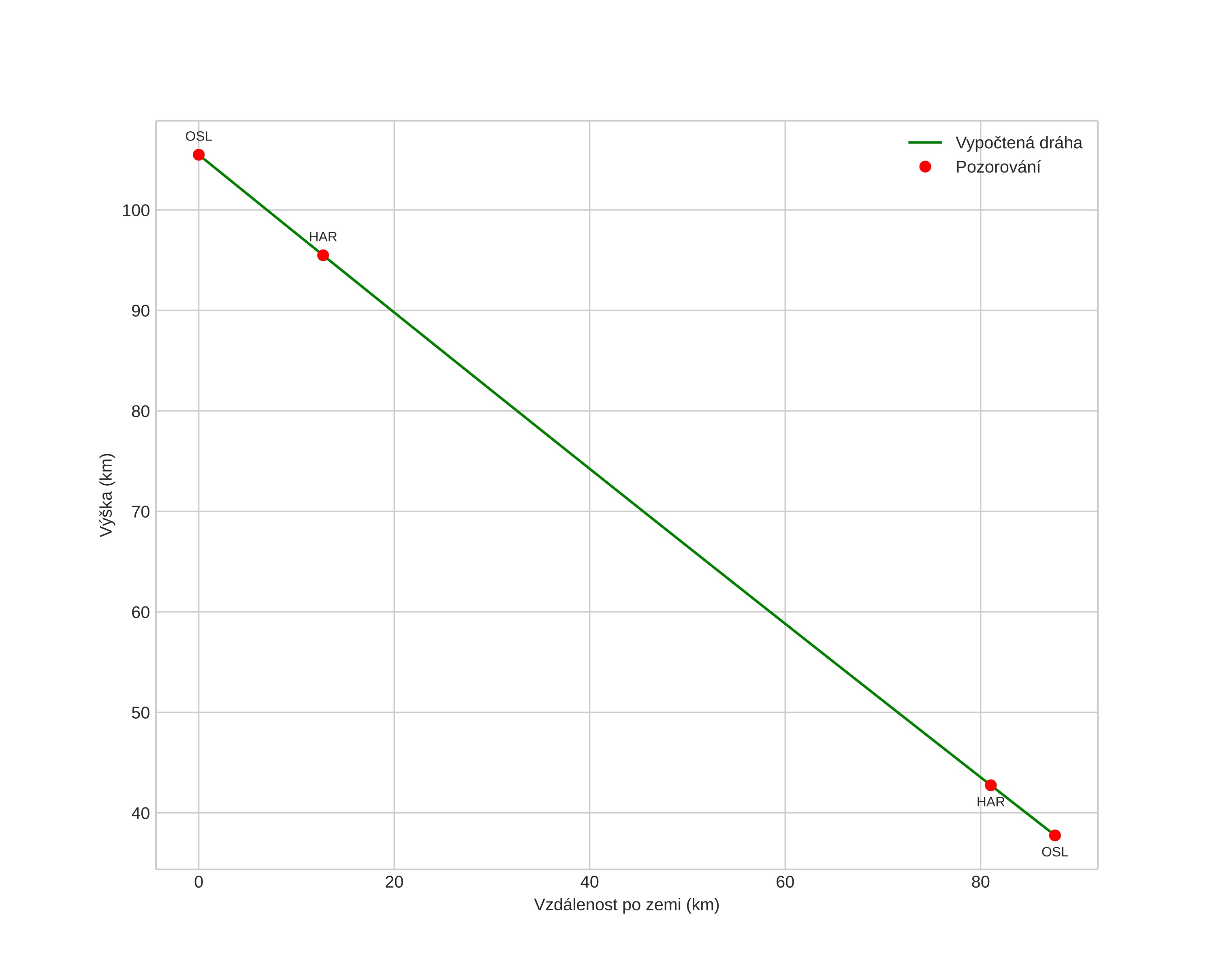
height profile
Atmosférická dráha meteoru:
Počáteční výška: 105,5 km
Konečná výška: 37,8 km
Počáteční poloha: 61,257N 4,240E
Konečná poloha: 61,255N 5,878E
Směr: 89,4°
Sklon: 37,7°
VstupnĂ­ rychlost: 49,7 km/s
Rektascenze radiantu: 06:41 (100,5°)
Deklinace radiantu: 31,4°
MeteorickĂ˝ roj: sporadickĂ˝
Elementy dráhy meteoroidu:
Vzdálenost v periheliu: 0,169 AU
Excentricita: 1,129
Sklon dráhy: 22,7°
Délka vzestupného uzlu: 262,7°
Argument perihelia: 304,3°
Střední anomálie: -19,0°
Epocha: 2015 DEC 15 05:30:32
orbit plot

NeinteraktivnĂ­ graf | InteraktivnĂ­ graf

position vs time
speed and acceleration