🇳🇴 🇬🇧 🇩🇪 🇨🇿 🇫🇮

Meteor, poloha: Revetal 2015-12-15 05:31:09 UTC

Soubor KML  |  InteraktivnĂ­ mapa

Mapa zobrazuje dráhy meteoru. Světlejší čáry ukazují směry od pozorovacích stanic při objevení se meteoru a tmavší čáry, kde byl naposledy viděn. Modrá šipka značí viditelnou dráhu meteoru.

static map
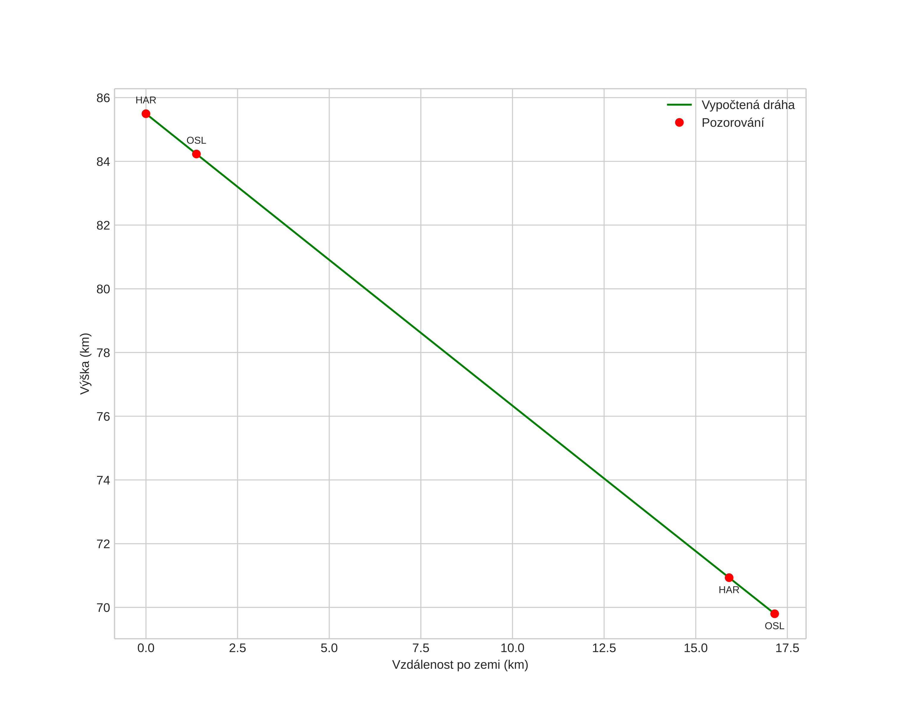
height profile
Atmosférická dráha meteoru:
Počáteční výška: 85,5 km
Konečná výška: 69,8 km
Počáteční poloha: 59,282N 9,799E
Konečná poloha: 59,279N 10,101E
Směr: 91,0°
Sklon: 42,5°
VstupnĂ­ rychlost: 29,4 km/s
Rektascenze radiantu: 07:14 (108,6°)
Deklinace radiantu: 34,1°
MeteorickĂ˝ roj: Geminidy
Elementy dráhy meteoroidu:
Vzdálenost v periheliu: 0,260 AU
Excentricita: 0,777
Sklon dráhy: 15,7°
Délka vzestupného uzlu: 262,7°
Argument perihelia: 313,0°
Střední anomálie: 325,3°
Epocha: 2015 DEC 15 05:31:09
orbit plot

NeinteraktivnĂ­ graf | InteraktivnĂ­ graf

position vs time
speed and acceleration