🇳🇴 🇬🇧 🇩🇪 🇨🇿 🇫🇮

Meteor, poloha: Utsira 2015-12-15 05:34:25 UTC

Soubor KML  |  InteraktivnĂ­ mapa

Mapa zobrazuje dráhy meteoru. Světlejší čáry ukazují směry od pozorovacích stanic při objevení se meteoru a tmavší čáry, kde byl naposledy viděn. Modrá šipka značí viditelnou dráhu meteoru.

static map
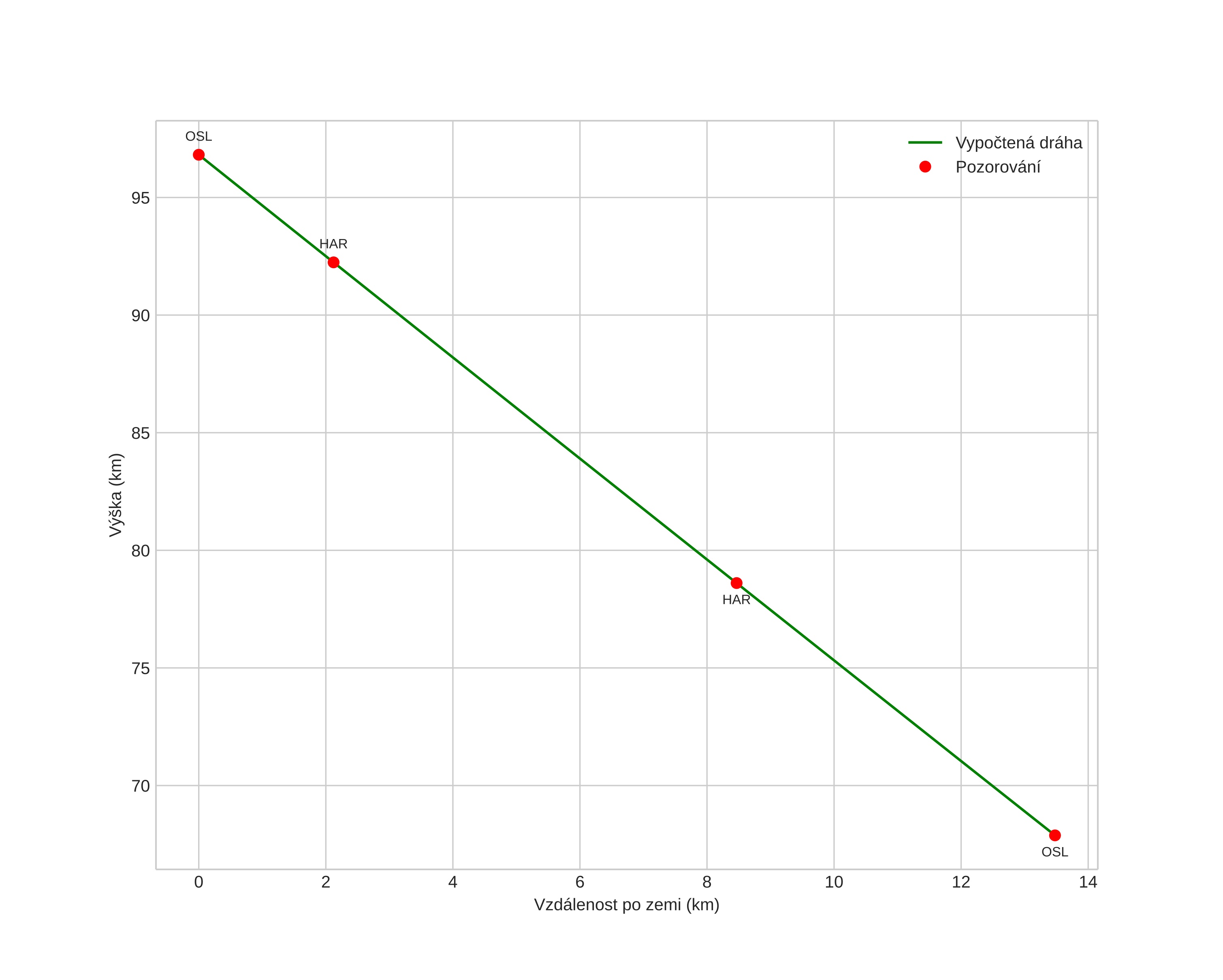
height profile
Atmosférická dráha meteoru:
Počáteční výška: 96,8 km
Konečná výška: 67,9 km
Počáteční poloha: 58,134N 2,748E
Konečná poloha: 58,096N 2,965E
Směr: 108,2°
Sklon: 65,0°
VstupnĂ­ rychlost: 24,7 km/s
Rektascenze radiantu: 07:56 (119,0°)
Deklinace radiantu: 56,0°
MeteorickĂ˝ roj: sporadickĂ˝
Elementy dráhy meteoroidu:
Vzdálenost v periheliu: 0,457 AU
Excentricita: 0,546
Sklon dráhy: 29,7°
Délka vzestupného uzlu: 262,7°
Argument perihelia: 301,1°
Střední anomálie: 303,6°
Epocha: 2015 DEC 15 05:34:25
orbit plot

NeinteraktivnĂ­ graf | InteraktivnĂ­ graf

position vs time
speed and acceleration