🇳🇴 🇬🇧 🇩🇪 🇨🇿 🇫🇮

Meteor, poloha: Ă…neby 2015-12-15 05:36:02 UTC

Soubor KML  |  InteraktivnĂ­ mapa

Mapa zobrazuje dráhy meteoru. Světlejší čáry ukazují směry od pozorovacích stanic při objevení se meteoru a tmavší čáry, kde byl naposledy viděn. Modrá šipka značí viditelnou dráhu meteoru.

static map
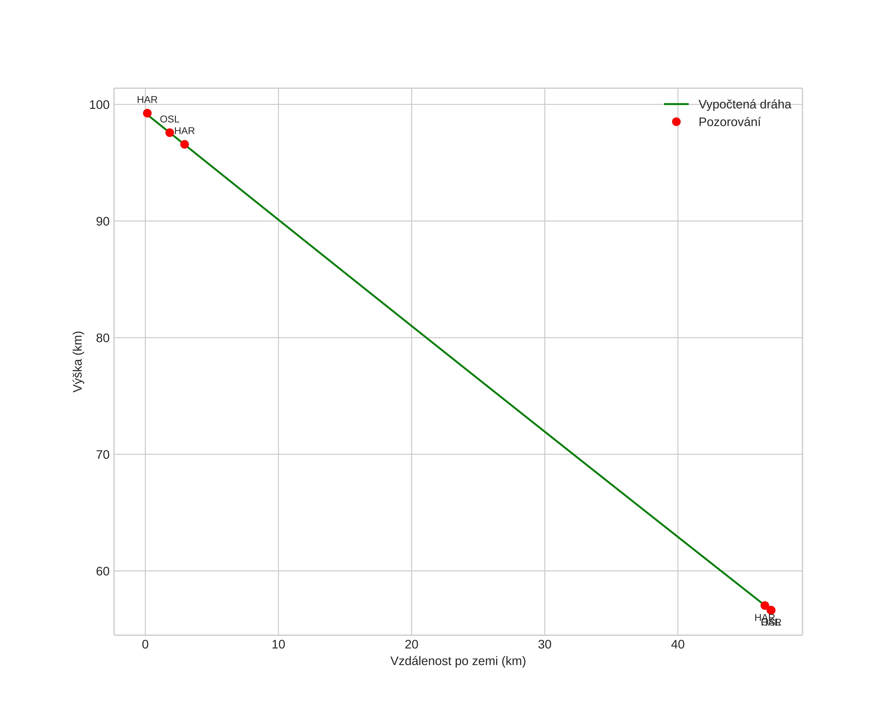
height profile
Atmosférická dráha meteoru:
Počáteční výška: 99,3 km
Konečná výška: 56,6 km
Počáteční poloha: 60,147N 9,989E
Konečná poloha: 60,182N 10,836E
Směr: 84,9°
Sklon: 42,3°
VstupnĂ­ rychlost: 30,6 km/s
Rektascenze radiantu: 07:35 (113,9°)
Deklinace radiantu: 31,7°
MeteorickĂ˝ roj: Geminidy
Elementy dráhy meteoroidu:
Vzdálenost v periheliu: 0,190 AU
Excentricita: 0,817
Sklon dráhy: 16,2°
Délka vzestupného uzlu: 262,7°
Argument perihelia: 322,5°
Střední anomálie: 320,6°
Epocha: 2015 DEC 15 05:36:02
orbit plot

NeinteraktivnĂ­ graf | InteraktivnĂ­ graf

position vs time
speed and acceleration