🇳🇴 🇬🇧 🇩🇪 🇨🇿 🇫🇮

Meteor, poloha: Kinsarvik 2015-12-15 06:02:36 UTC

Soubor KML  |  InteraktivnĂ­ mapa

Mapa zobrazuje dráhy meteoru. Světlejší čáry ukazují směry od pozorovacích stanic při objevení se meteoru a tmavší čáry, kde byl naposledy viděn. Modrá šipka značí viditelnou dráhu meteoru.

static map
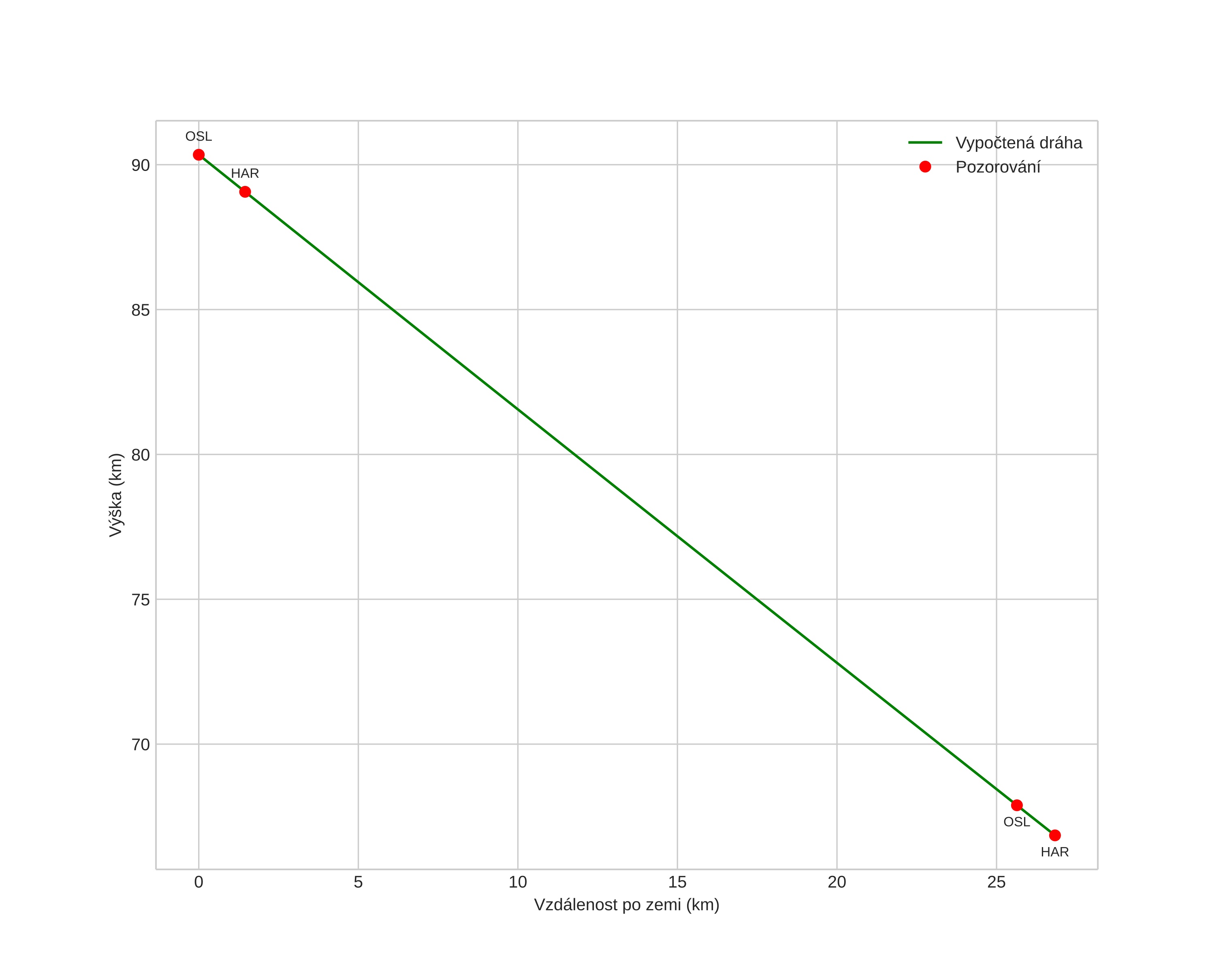
height profile
Atmosférická dráha meteoru:
Počáteční výška: 90,3 km
Konečná výška: 66,9 km
Počáteční poloha: 60,215N 6,146E
Konečná poloha: 60,225N 6,631E
Směr: 87,3°
Sklon: 41,1°
VstupnĂ­ rychlost: 35,2 km/s
Rektascenze radiantu: 07:37 (114,4°)
Deklinace radiantu: 32,2°
MeteorickĂ˝ roj: Geminidy
Elementy dráhy meteoroidu:
Vzdálenost v periheliu: 0,147 AU
Excentricita: 0,885
Sklon dráhy: 22,6°
Délka vzestupného uzlu: 262,7°
Argument perihelia: 324,2°
Střední anomálie: 334,2°
Epocha: 2015 DEC 15 06:02:36
orbit plot

NeinteraktivnĂ­ graf | InteraktivnĂ­ graf

position vs time
speed and acceleration