🇳🇴 🇬🇧 🇩🇪 🇨🇿 🇫🇮

Meteor, poloha: Grimstad 2015-12-15 06:56:07 UTC

Soubor KML  |  InteraktivnĂ­ mapa

Mapa zobrazuje dráhy meteoru. Světlejší čáry ukazují směry od pozorovacích stanic při objevení se meteoru a tmavší čáry, kde byl naposledy viděn. Modrá šipka značí viditelnou dráhu meteoru.

static map
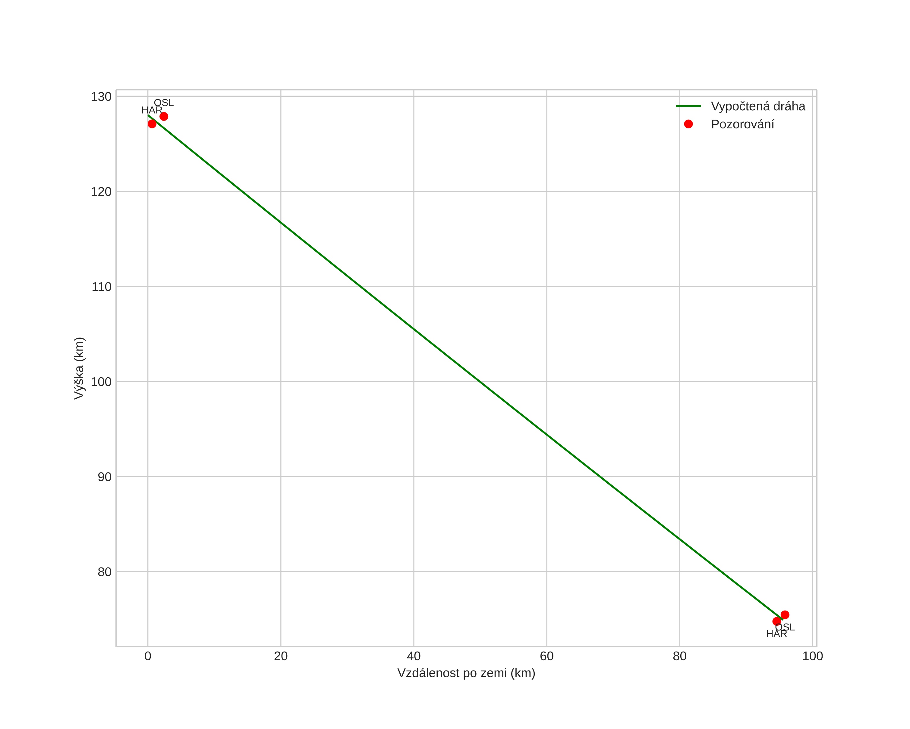
height profile
Atmosférická dráha meteoru:
Počáteční výška: 128,0 km
Konečná výška: 74,9 km
Počáteční poloha: 57,945N 7,132E
Konečná poloha: 58,436N 8,471E
Směr: 54,7°
Sklon: 29,1°
VstupnĂ­ rychlost: 119,5 km/s
Rektascenze radiantu: 09:53 (148,3°)
Deklinace radiantu: 8,1°
MeteorickĂ˝ roj: sporadickĂ˝
Elementy dráhy meteoroidu:
Vzdálenost v periheliu: 0,807 AU
Excentricita: 7,197
Sklon dráhy: 173,2°
Délka vzestupného uzlu: 82,7°
Argument perihelia: 37,3°
Střední anomálie: -230,4°
Epocha: 2015 DEC 15 06:56:07
orbit plot

NeinteraktivnĂ­ graf | InteraktivnĂ­ graf

position vs time
speed and acceleration