🇳🇴 🇬🇧 🇩🇪 🇨🇿 🇫🇮

Meteor, poloha: Dalen 2015-12-15 07:39:35 UTC

Soubor KML  |  InteraktivnĂ­ mapa

Mapa zobrazuje dráhy meteoru. Světlejší čáry ukazují směry od pozorovacích stanic při objevení se meteoru a tmavší čáry, kde byl naposledy viděn. Modrá šipka značí viditelnou dráhu meteoru.

static map
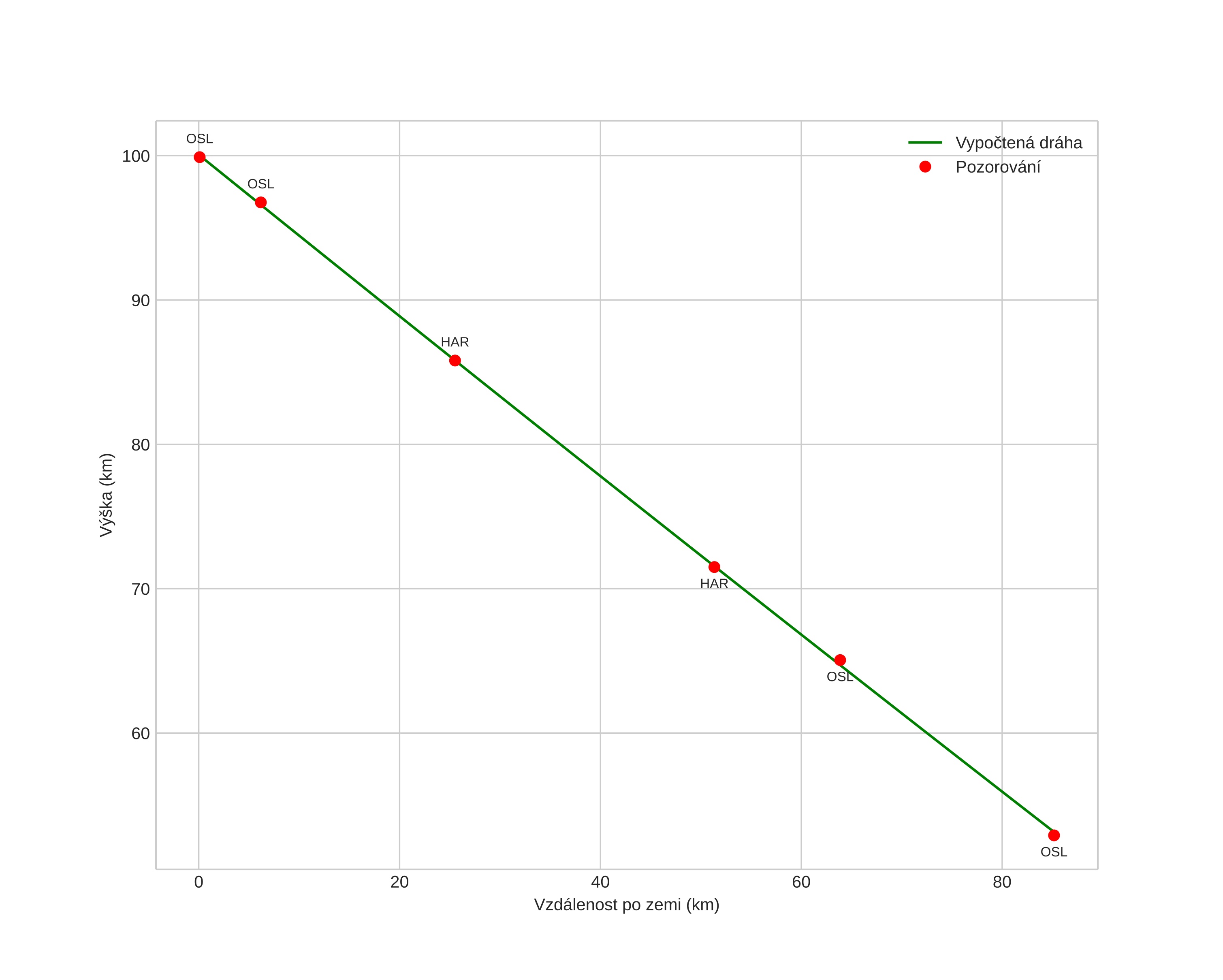
height profile
Atmosférická dráha meteoru:
Počáteční výška: 100,1 km
Konečná výška: 53,1 km
Počáteční poloha: 59,555N 6,428E
Konečná poloha: 59,314N 7,860E
Směr: 107,7°
Sklon: 28,9°
VstupnĂ­ rychlost: 37,1 km/s
Rektascenze radiantu: 07:38 (114,7°)
Deklinace radiantu: 31,9°
MeteorickĂ˝ roj: Geminidy
Elementy dráhy meteoroidu:
Vzdálenost v periheliu: 0,129 AU
Excentricita: 0,911
Sklon dráhy: 25,1°
Délka vzestupného uzlu: 262,8°
Argument perihelia: 325,4°
Střední anomálie: 339,5°
Epocha: 2015 DEC 15 07:39:35
orbit plot

NeinteraktivnĂ­ graf | InteraktivnĂ­ graf

position vs time
speed and acceleration