🇳🇴 🇬🇧 🇩🇪 🇨🇿 🇫🇮

Meteor, poloha: Hagfors 2015-12-15 17:34:16 UTC

Soubor KML  |  InteraktivnĂ­ mapa

Mapa zobrazuje dráhy meteoru. Světlejší čáry ukazují směry od pozorovacích stanic při objevení se meteoru a tmavší čáry, kde byl naposledy viděn. Modrá šipka značí viditelnou dráhu meteoru.

static map
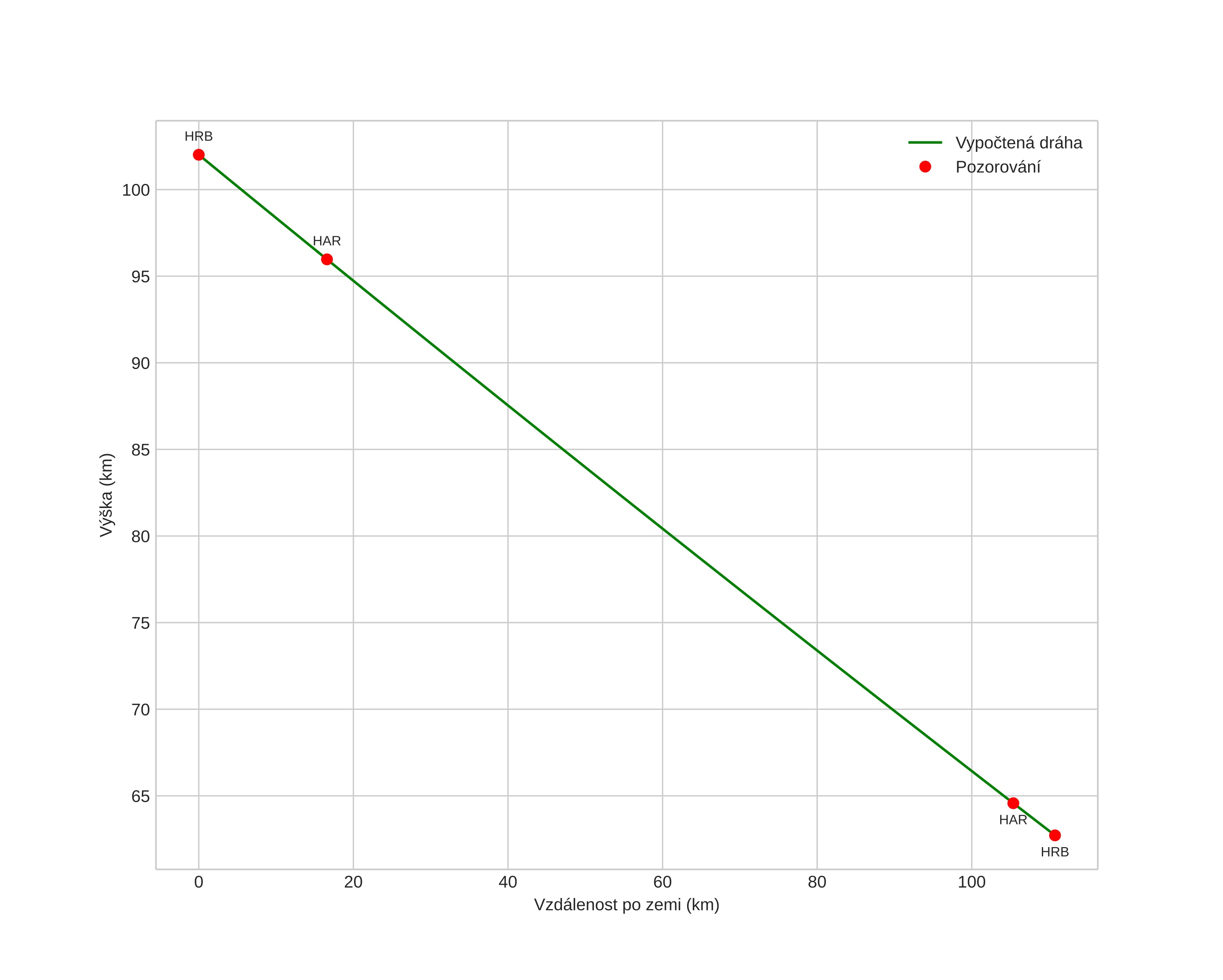
height profile
Atmosférická dráha meteoru:
Počáteční výška: 102,0 km
Konečná výška: 62,7 km
Počáteční poloha: 60,460N 15,566E
Konečná poloha: 59,886N 13,929E
Směr: 235,6°
Sklon: 19,5°
VstupnĂ­ rychlost: 35,5 km/s
Rektascenze radiantu: 07:40 (115,2°)
Deklinace radiantu: 32,0°
MeteorickĂ˝ roj: Geminidy
Elementy dráhy meteoroidu:
Vzdálenost v periheliu: 0,145 AU
Excentricita: 0,885
Sklon dráhy: 22,5°
Délka vzestupného uzlu: 263,2°
Argument perihelia: 324,7°
Střední anomálie: 333,6°
Epocha: 2015 DEC 15 17:34:16
orbit plot

NeinteraktivnĂ­ graf | InteraktivnĂ­ graf

position vs time
speed and acceleration