🇳🇴 🇬🇧 🇩🇪 🇨🇿 🇫🇮

Meteor, poloha: Torsby 2015-12-16 02:34:30 UTC

Soubor KML  |  InteraktivnĂ­ mapa

Mapa zobrazuje dráhy meteoru. Světlejší čáry ukazují směry od pozorovacích stanic při objevení se meteoru a tmavší čáry, kde byl naposledy viděn. Modrá šipka značí viditelnou dráhu meteoru.

static map
height profile
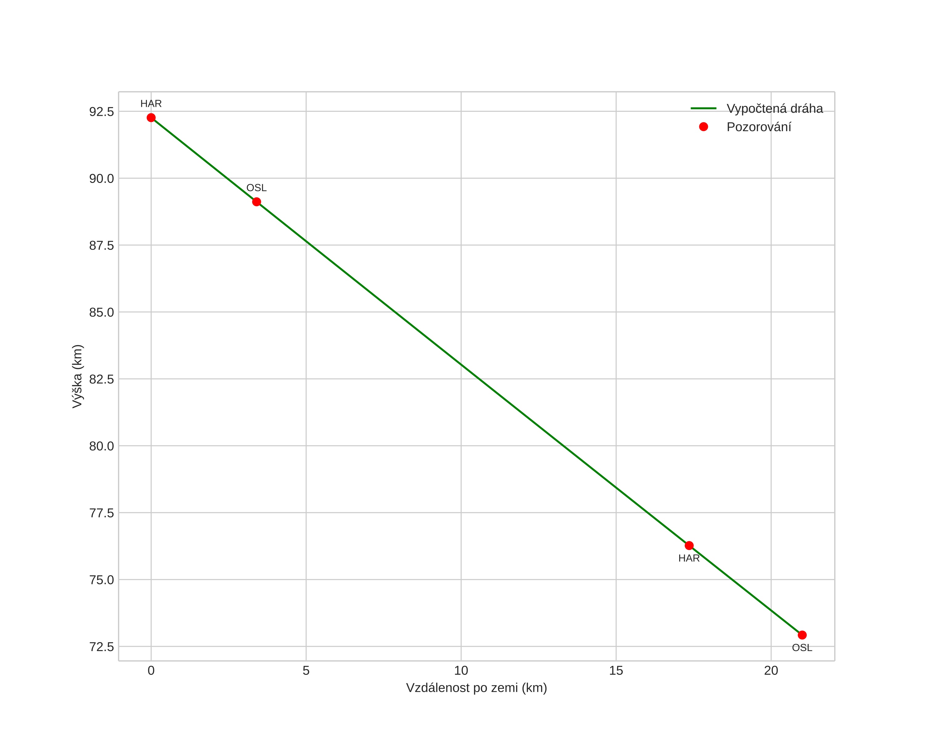
Atmosférická dráha meteoru:
Počáteční výška: 92,3 km
Konečná výška: 72,9 km
Počáteční poloha: 60,391N 12,395E
Konečná poloha: 60,496N 12,713E
Směr: 56,0°
Sklon: 42,7°
VstupnĂ­ rychlost: 40,2 km/s
Rektascenze radiantu: 06:12 (93,1°)
Deklinace radiantu: 21,7°
MeteorickĂ˝ roj: sporadickĂ˝
Elementy dráhy meteoroidu:
Vzdálenost v periheliu: 0,302 AU
Excentricita: 1,085
Sklon dráhy: 2,7°
Délka vzestupného uzlu: 83,6°
Argument perihelia: 109,3°
Střední anomálie: -4,9°
Epocha: 2015 DEC 16 02:34:30
orbit plot

NeinteraktivnĂ­ graf | InteraktivnĂ­ graf

position vs time
speed and acceleration