🇳🇴 🇬🇧 🇩🇪 🇨🇿 🇫🇮

Meteor, poloha: Rødberg 2015-12-16 03:43:17 UTC

Soubor KML  |  InteraktivnĂ­ mapa

Mapa zobrazuje dráhy meteoru. Světlejší čáry ukazují směry od pozorovacích stanic při objevení se meteoru a tmavší čáry, kde byl naposledy viděn. Modrá šipka značí viditelnou dráhu meteoru.

static map
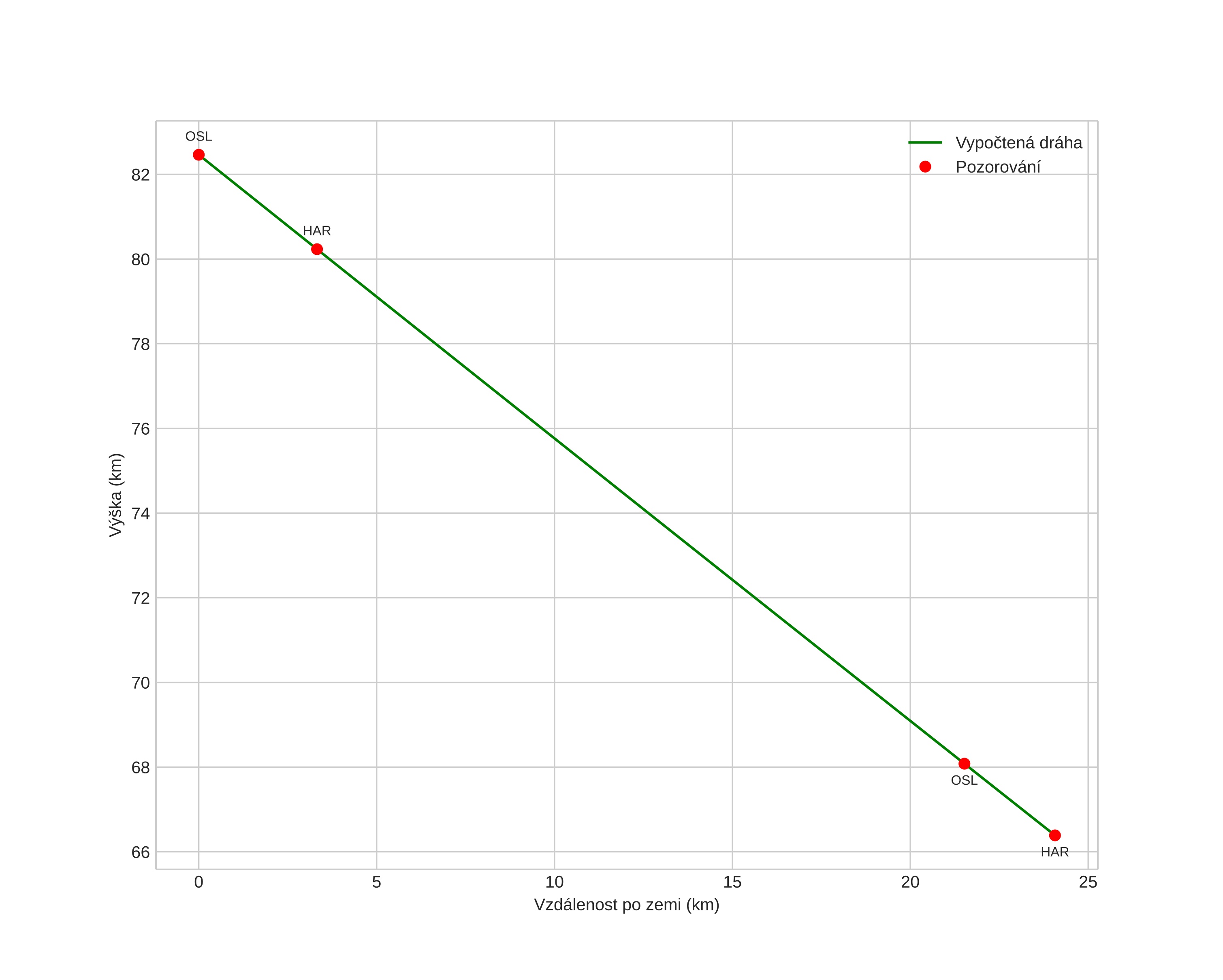
height profile
Atmosférická dráha meteoru:
Počáteční výška: 82,5 km
Konečná výška: 66,4 km
Počáteční poloha: 60,311N 8,456E
Konečná poloha: 60,397N 8,858E
Směr: 66,6°
Sklon: 33,8°
VstupnĂ­ rychlost: 24,0 km/s
Rektascenze radiantu: 06:10 (92,7°)
Deklinace radiantu: 15,3°
MeteorickĂ˝ roj: sporadickĂ˝
Elementy dráhy meteoroidu:
Vzdálenost v periheliu: 0,481 AU
Excentricita: 0,664
Sklon dráhy: 6,5°
Délka vzestupného uzlu: 83,6°
Argument perihelia: 106,2°
Střední anomálie: 331,7°
Epocha: 2015 DEC 16 03:43:17
orbit plot

NeinteraktivnĂ­ graf | InteraktivnĂ­ graf

position vs time
speed and acceleration