🇳🇴 🇬🇧 🇩🇪 🇨🇿 🇫🇮

Meteor, poloha: Tanumshede 2015-12-20 17:15:41 UTC

Soubor KML  |  InteraktivnĂ­ mapa

Mapa zobrazuje dráhy meteoru. Světlejší čáry ukazují směry od pozorovacích stanic při objevení se meteoru a tmavší čáry, kde byl naposledy viděn. Modrá šipka značí viditelnou dráhu meteoru.

static map
height profile
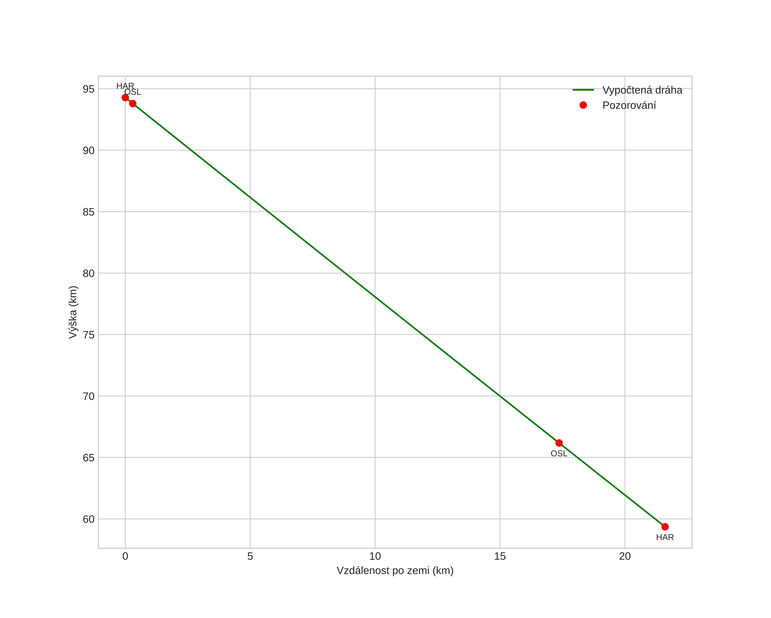
Atmosférická dráha meteoru:
Počáteční výška: 94,3 km
Konečná výška: 59,4 km
Počáteční poloha: 58,910N 11,345E
Konečná poloha: 58,717N 11,378E
Směr: 175,0°
Sklon: 58,2°
VstupnĂ­ rychlost: 26,9 km/s
Rektascenze radiantu: 15:57 (239,3°)
Deklinace radiantu: 86,2°
MeteorickĂ˝ roj: sporadickĂ˝
Elementy dráhy meteoroidu:
Vzdálenost v periheliu: 0,920 AU
Excentricita: 0,639
Sklon dráhy: 38,3°
Délka vzestupného uzlu: 268,3°
Argument perihelia: 213,6°
Střední anomálie: 354,0°
Epocha: 2015 DEC 20 17:15:41
orbit plot

NeinteraktivnĂ­ graf | InteraktivnĂ­ graf

position vs time
speed and acceleration