🇳🇴 🇬🇧 🇩🇪 🇨🇿 🇫🇮

Meteor, poloha: Valle 2015-12-22 19:06:56 UTC

Soubor KML  |  InteraktivnĂ­ mapa

Mapa zobrazuje dráhy meteoru. Světlejší čáry ukazují směry od pozorovacích stanic při objevení se meteoru a tmavší čáry, kde byl naposledy viděn. Modrá šipka značí viditelnou dráhu meteoru.

static map
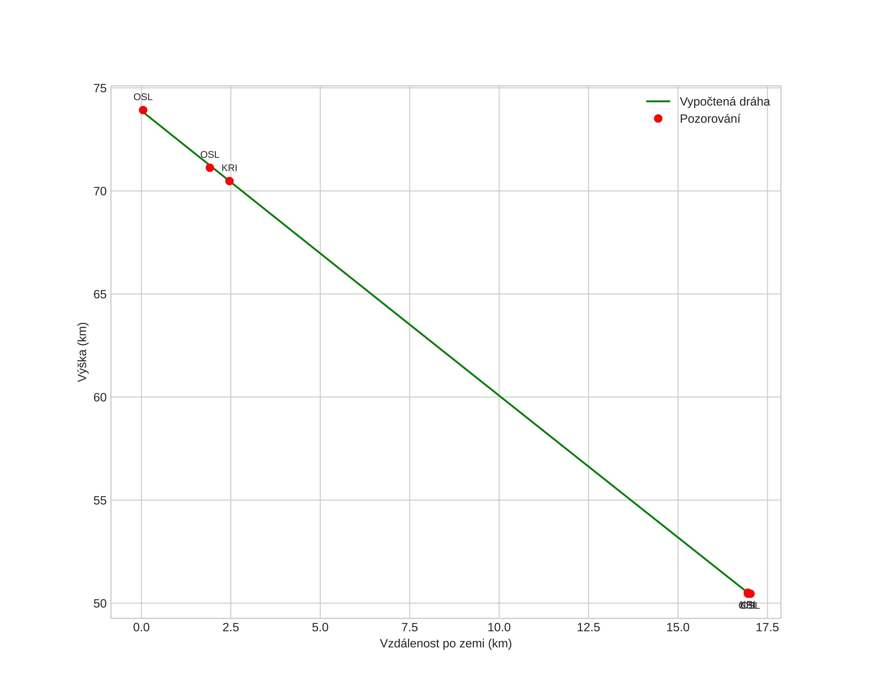
height profile
Atmosférická dráha meteoru:
Počáteční výška: 73,9 km
Konečná výška: 50,4 km
Počáteční poloha: 59,110N 7,498E
Konečná poloha: 59,262N 7,460E
Směr: 352,8°
Sklon: 54,1°
VstupnĂ­ rychlost: 13,8 km/s
Rektascenze radiantu: 01:55 (29,0°)
Deklinace radiantu: 13,9°
MeteorickĂ˝ roj: sporadickĂ˝
Elementy dráhy meteoroidu:
Vzdálenost v periheliu: 0,965 AU
Excentricita: 0,570
Sklon dráhy: 0,4°
Délka vzestupného uzlu: 270,1°
Argument perihelia: 198,9°
Střední anomálie: 355,8°
Epocha: 2015 DEC 22 19:06:56
orbit plot

NeinteraktivnĂ­ graf | InteraktivnĂ­ graf

position vs time
speed and acceleration