🇳🇴 🇬🇧 🇩🇪 🇨🇿 🇫🇮

Meteor, poloha: Rollag 2015-12-23 01:39:52 UTC

Soubor KML  |  InteraktivnĂ­ mapa

Mapa zobrazuje dráhy meteoru. Světlejší čáry ukazují směry od pozorovacích stanic při objevení se meteoru a tmavší čáry, kde byl naposledy viděn. Modrá šipka značí viditelnou dráhu meteoru.

static map
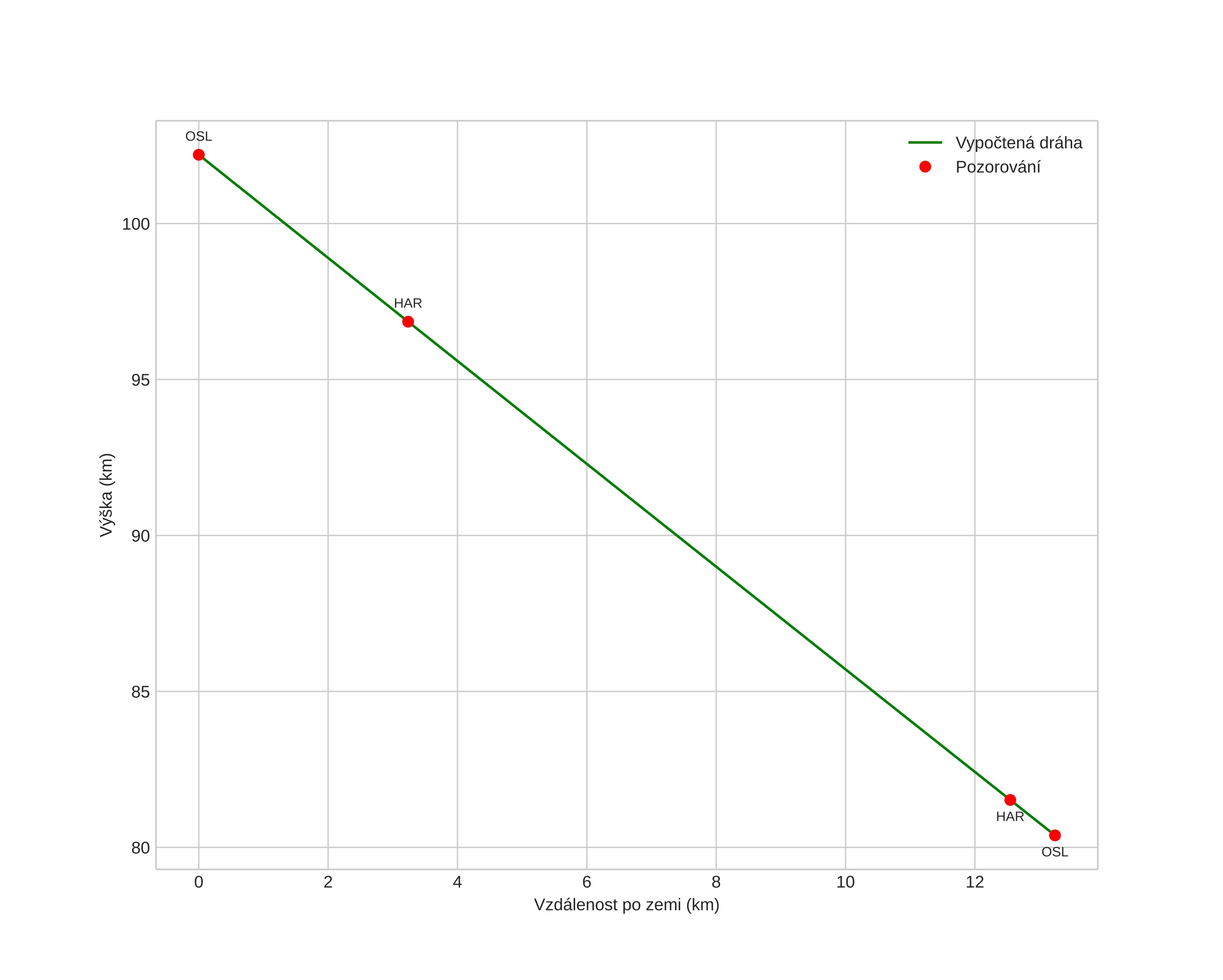
height profile
Atmosférická dráha meteoru:
Počáteční výška: 102,2 km
Konečná výška: 80,4 km
Počáteční poloha: 60,238N 9,251E
Konečná poloha: 60,129N 9,153E
Směr: 204,1°
Sklon: 58,7°
VstupnĂ­ rychlost: 27,3 km/s
Rektascenze radiantu: 14:31 (217,9°)
Deklinace radiantu: 77,8°
MeteorickĂ˝ roj: Ursidy
Elementy dráhy meteoroidu:
Vzdálenost v periheliu: 0,926 AU
Excentricita: 0,463
Sklon dráhy: 42,0°
Délka vzestupného uzlu: 270,7°
Argument perihelia: 215,4°
Střední anomálie: 348,0°
Epocha: 2015 DEC 23 01:39:52
orbit plot

NeinteraktivnĂ­ graf | InteraktivnĂ­ graf

position vs time
speed and acceleration