🇳🇴 🇬🇧 🇩🇪 🇨🇿 🇫🇮

Meteor, poloha: Utsira 2015-12-23 05:08:57 UTC

Soubor KML  |  InteraktivnĂ­ mapa

Mapa zobrazuje dráhy meteoru. Světlejší čáry ukazují směry od pozorovacích stanic při objevení se meteoru a tmavší čáry, kde byl naposledy viděn. Modrá šipka značí viditelnou dráhu meteoru.

static map
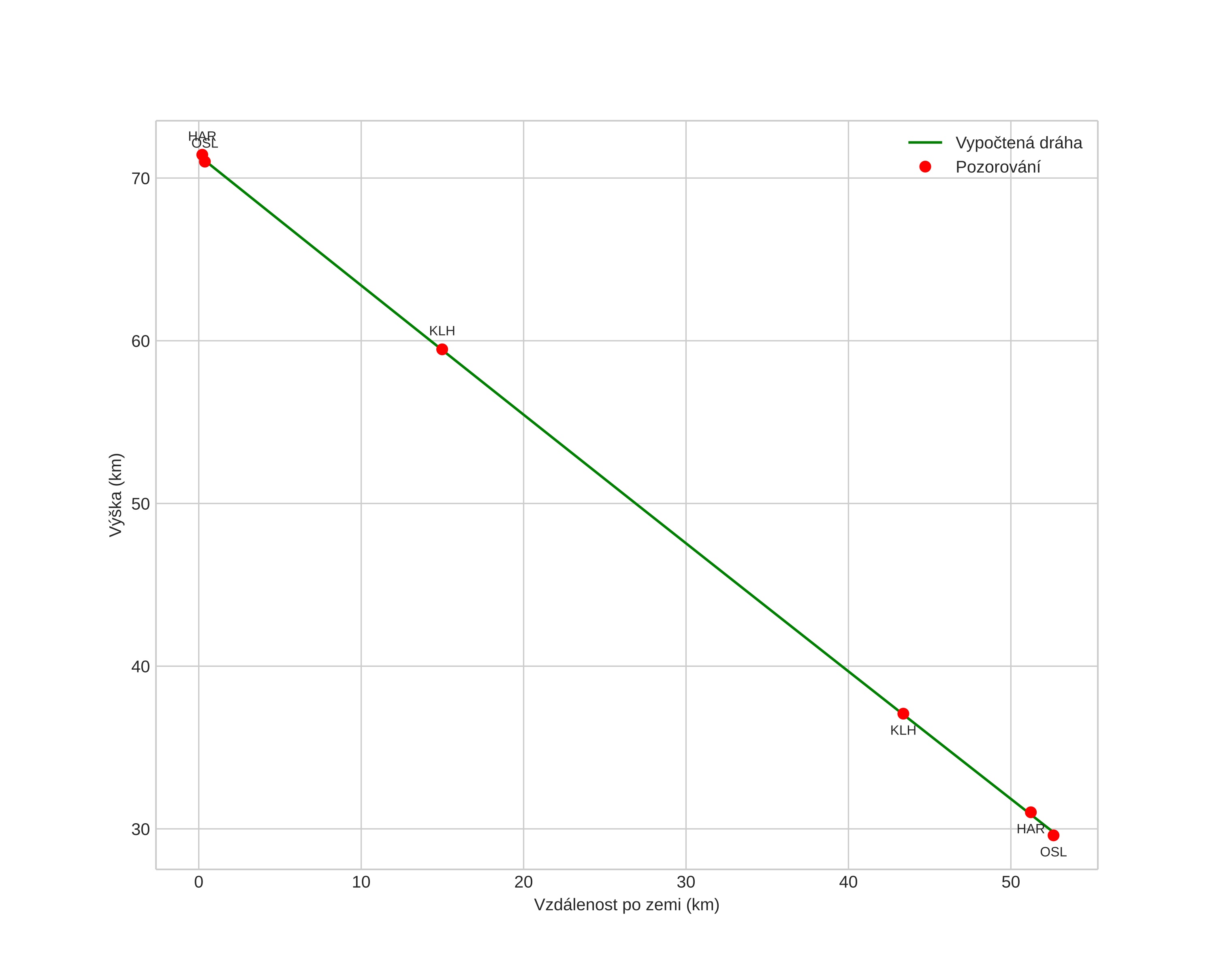
height profile
Atmosférická dráha meteoru:
Počáteční výška: 71,4 km
Konečná výška: 29,7 km
Počáteční poloha: 59,543N 5,564E
Konečná poloha: 59,290N 4,776E
Směr: 238,1°
Sklon: 38,3°
VstupnĂ­ rychlost: 14,9 km/s
Rektascenze radiantu: 18:29 (277,4°)
Deklinace radiantu: 39,7°
MeteorickĂ˝ roj: sporadickĂ˝
Elementy dráhy meteoroidu:
Vzdálenost v periheliu: 0,935 AU
Excentricita: 0,217
Sklon dráhy: 15,4°
Délka vzestupného uzlu: 270,8°
Argument perihelia: 136,3°
Střední anomálie: 28,4°
Epocha: 2015 DEC 23 05:08:57
orbit plot

NeinteraktivnĂ­ graf | InteraktivnĂ­ graf

position vs time
speed and acceleration