🇳🇴 🇬🇧 🇩🇪 🇨🇿 🇫🇮

Meteor, poloha: Heggenes 2015-12-23 17:48:23 UTC

Soubor KML  |  InteraktivnĂ­ mapa

Mapa zobrazuje dráhy meteoru. Světlejší čáry ukazují směry od pozorovacích stanic při objevení se meteoru a tmavší čáry, kde byl naposledy viděn. Modrá šipka značí viditelnou dráhu meteoru.

static map
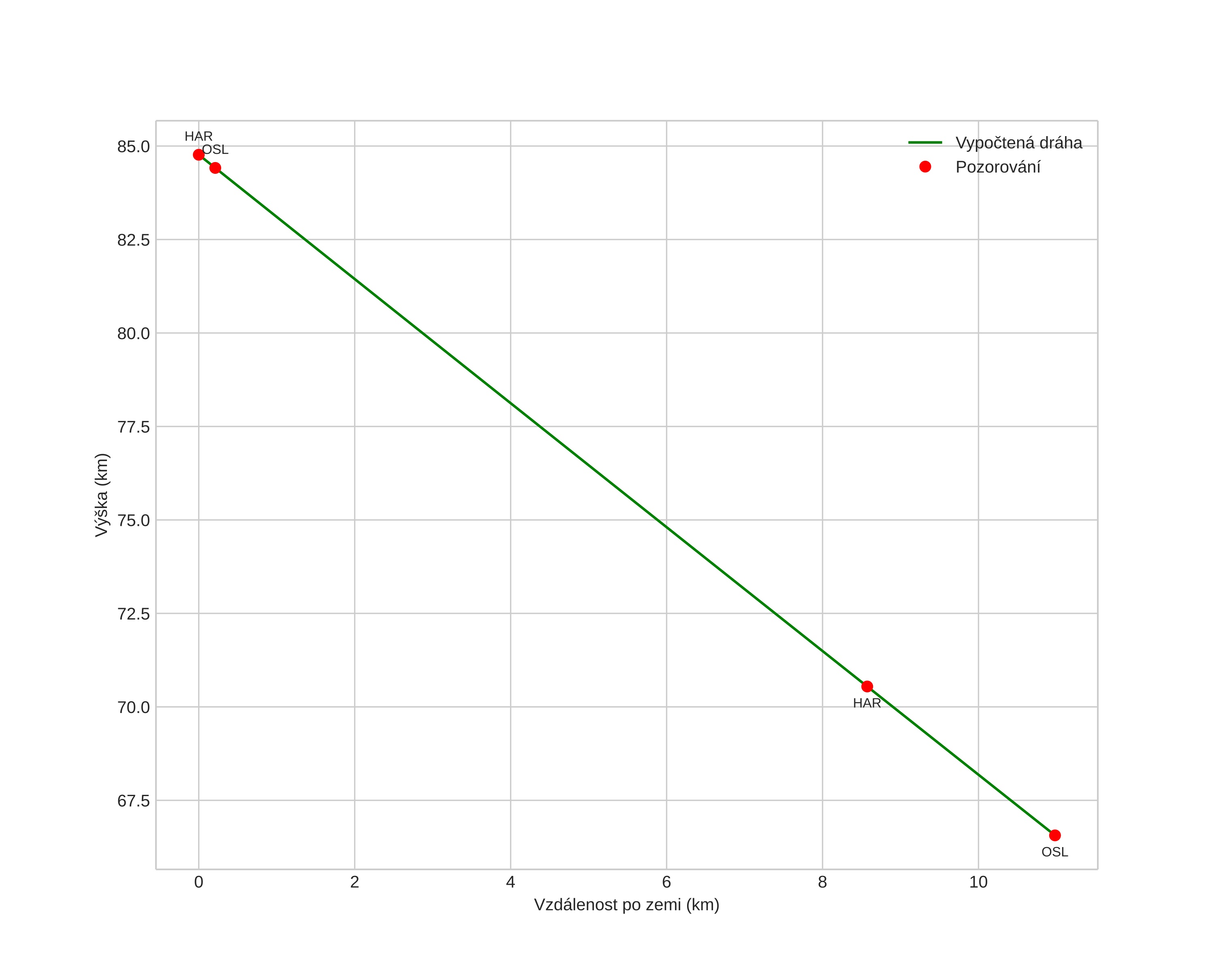
height profile
Atmosférická dráha meteoru:
Počáteční výška: 84,8 km
Konečná výška: 66,6 km
Počáteční poloha: 61,297N 9,268E
Konečná poloha: 61,314N 9,066E
Směr: 280,3°
Sklon: 58,9°
VstupnĂ­ rychlost: 17,7 km/s
Rektascenze radiantu: 03:46 (56,6°)
Deklinace radiantu: 42,2°
MeteorickĂ˝ roj: sporadickĂ˝
Elementy dráhy meteoroidu:
Vzdálenost v periheliu: 0,873 AU
Excentricita: 0,656
Sklon dráhy: 7,9°
Délka vzestupného uzlu: 271,3°
Argument perihelia: 224,2°
Střední anomálie: 352,5°
Epocha: 2015 DEC 23 17:48:23
orbit plot

NeinteraktivnĂ­ graf | InteraktivnĂ­ graf

position vs time
speed and acceleration