🇳🇴 🇬🇧 🇩🇪 🇨🇿 🇫🇮

Meteor, poloha: Risør 2015-12-23 19:23:07 UTC

Soubor KML  |  InteraktivnĂ­ mapa

Mapa zobrazuje dráhy meteoru. Světlejší čáry ukazují směry od pozorovacích stanic při objevení se meteoru a tmavší čáry, kde byl naposledy viděn. Modrá šipka značí viditelnou dráhu meteoru.

static map
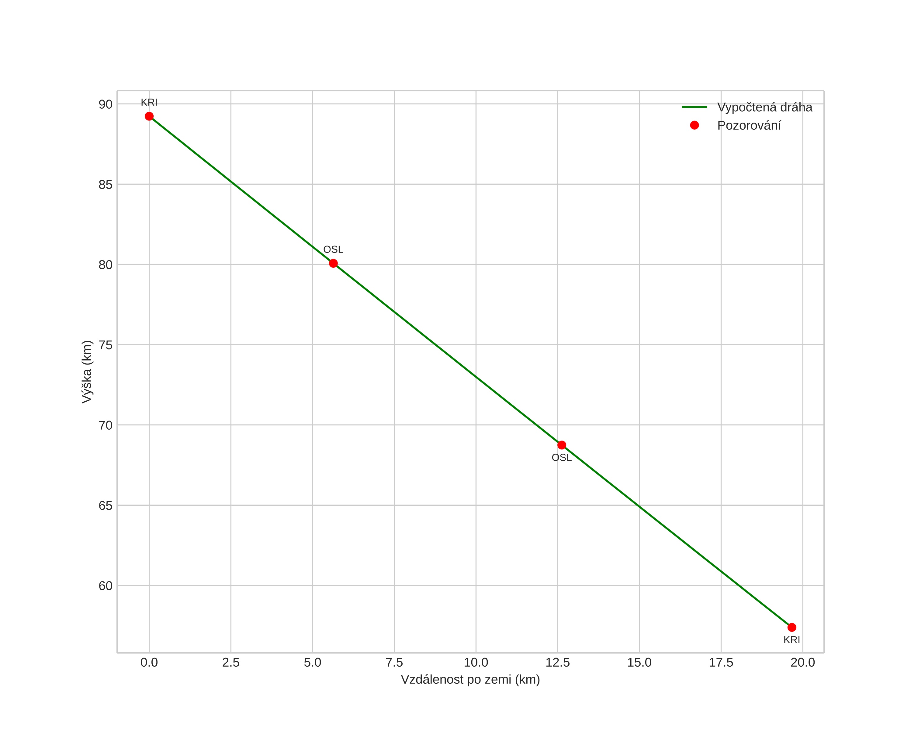
height profile
Atmosférická dráha meteoru:
Počáteční výška: 89,2 km
Konečná výška: 57,4 km
Počáteční poloha: 58,269N 9,649E
Konečná poloha: 58,250N 9,315E
Směr: 264,0°
Sklon: 58,3°
VstupnĂ­ rychlost: 26,8 km/s
Rektascenze radiantu: 05:43 (85,8°)
Deklinace radiantu: 48,1°
MeteorickĂ˝ roj: sporadickĂ˝
Elementy dráhy meteoroidu:
Vzdálenost v periheliu: 0,661 AU
Excentricita: 0,857
Sklon dráhy: 17,5°
Délka vzestupného uzlu: 271,4°
Argument perihelia: 253,2°
Střední anomálie: 356,1°
Epocha: 2015 DEC 23 19:23:07
orbit plot

NeinteraktivnĂ­ graf | InteraktivnĂ­ graf

position vs time
speed and acceleration