🇳🇴 🇬🇧 🇩🇪 🇨🇿 🇫🇮

Meteor, poloha: Tomra 2015-12-23 22:53:20 UTC

Soubor KML  |  InteraktivnĂ­ mapa

Mapa zobrazuje dráhy meteoru. Světlejší čáry ukazují směry od pozorovacích stanic při objevení se meteoru a tmavší čáry, kde byl naposledy viděn. Modrá šipka značí viditelnou dráhu meteoru.

static map
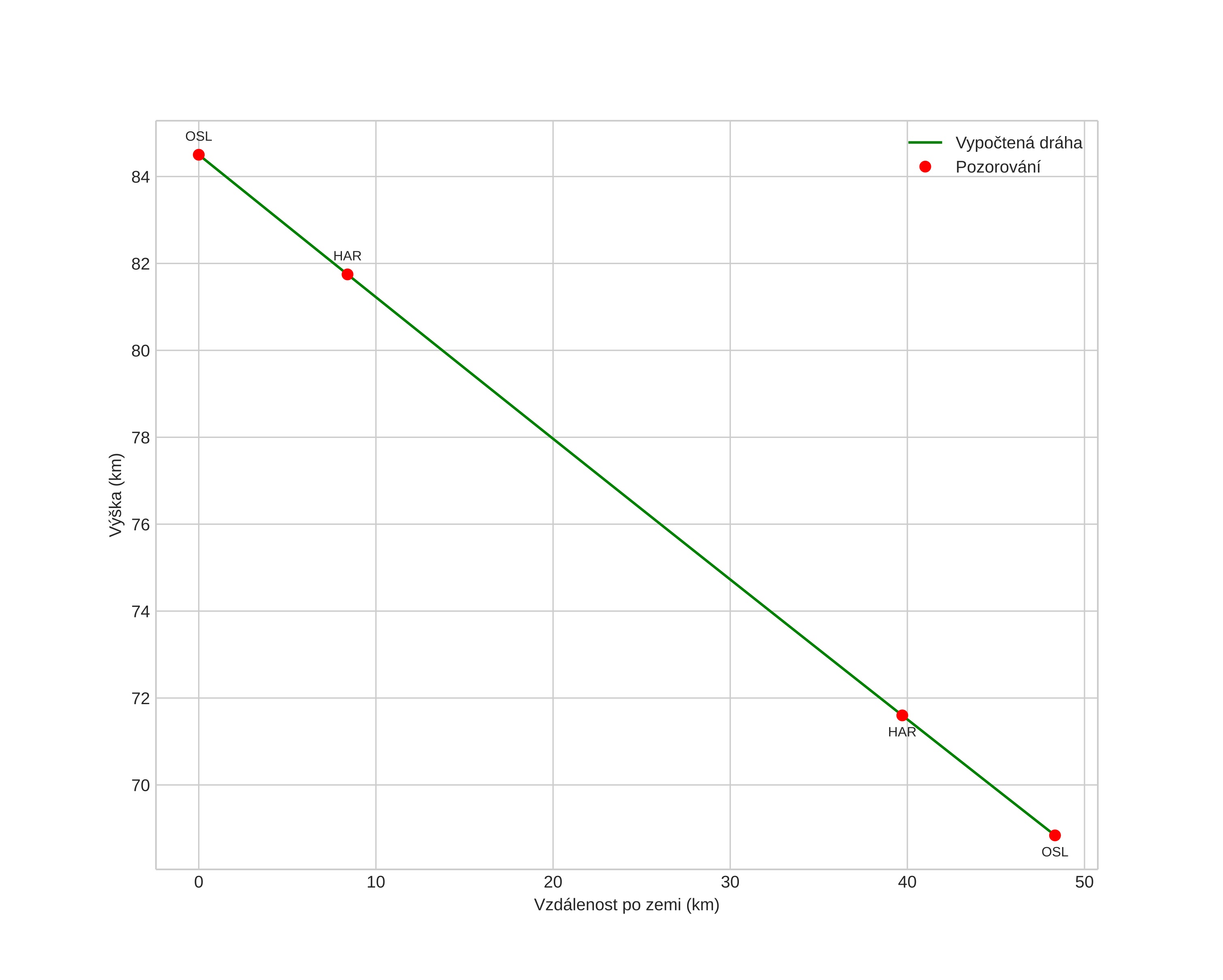
height profile
Atmosférická dráha meteoru:
Počáteční výška: 84,5 km
Konečná výška: 68,8 km
Počáteční poloha: 62,530N 7,779E
Konečná poloha: 62,645N 6,868E
Směr: 285,8°
Sklon: 18,0°
VstupnĂ­ rychlost: 64,1 km/s
Rektascenze radiantu: 10:04 (151,1°)
Deklinace radiantu: 8,4°
MeteorickĂ˝ roj: sporadickĂ˝
Elementy dráhy meteoroidu:
Vzdálenost v periheliu: 0,313 AU
Excentricita: 0,941
Sklon dráhy: 171,5°
Délka vzestupného uzlu: 91,6°
Argument perihelia: 114,0°
Střední anomálie: 356,9°
Epocha: 2015 DEC 23 22:53:20
orbit plot

NeinteraktivnĂ­ graf | InteraktivnĂ­ graf

position vs time
speed and acceleration